描述
圖1.單一透鏡的彗形像差彗形像差是拋物鏡望遠鏡與生俱來的特質,來自於視野中心區域的點光源(像是恆星)可以很好的匯聚在面鏡的焦點上(不同於球面鏡,來自於鏡子周圍部分的光線只是接近焦點—球面像差。)。但是,來自於偏離光軸(離軸)方向的光線,自鏡子的不同區域反射的光卻不能匯聚在相同的焦點上。這樣的結果導致不在視野中心的光看起來是楔形的問題,而且離軸越遠,這個現象越明顯。這使得星點看起來有著彗星的形狀,因而得名。在設計上能降低球面像差且沒有彗形像差的光學系統有施密特(Schmidt)、馬克蘇托夫(Maksutov)、和里奇-克萊琴式(Ritchey-Chrétien)。
單一透鏡或透鏡系統的彗形像差,可以經由選擇適當的透鏡表面曲率有效的降低(某些情況下可以被消除)以合於套用。在單一的波長下,球面像差和彗型像差都最小的透鏡稱為"最佳形式"或齊明透鏡。而目前削減彗形像差最普遍的方法就是使用非球面鏡。
薄透鏡的彗形像差
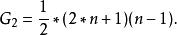
彗差薄透鏡的彗形像差由下式表示:彗形像差= 其中
彗差
彗差
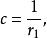
彗差為物距之倒數。
彗差
彗差
彗差
彗差
彗差相關條目
•像差
