公式
彈性碰撞
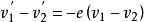
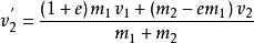
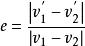
彈性碰撞一般地:定義恢復係數,如果僅僅考慮對心碰撞情形,由於在質心繫中碰撞前後相對速度彼此相反,有 (1)
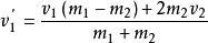
利用質心繫總動量為零和相對速度的定義式,再結合(1)式,容易推出質心繫中碰撞後的速度表達式。最後在表達式中帶入
彈性碰撞容易得到碰撞後速度:
彈性碰撞
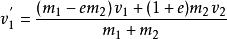
彈性碰撞取e=1即可得到完全彈性碰撞後的速度表達式。
彈性碰撞
彈性碰撞
彈性碰撞或者,回歸高中物理的情形:設兩個物體質量 ,碰撞前速度 。對於完全彈性碰撞:兩個物體碰撞後速度 可由動量守恆定律和能量守恆定律簡單地導出:
動量守恆定律:
彈性碰撞能量守恆定律:
彈性碰撞兩個物體碰撞後速度:
彈性碰撞
彈性碰撞
彈性碰撞注意:速度是矢量。
性質
由上述公式能夠得到如下性質:
彈性碰撞1.(僅限於對心碰撞):兩個物體在碰撞後相比碰撞前,相對速度大小相等方向相反。
彈性碰撞
彈性碰撞2. 總動量和總能量不變:兩個物體碰撞前後,動量的矢量和、能量的和都不變。
彈性碰撞
彈性碰撞
彈性碰撞3. 如果 大小相等, 且 :如果兩個物體質量相同,速度大小方向都互換。
其他
碰撞的類型還有:非彈性碰撞、完全非彈性碰撞。

