振動分析主要是考察系統對激勵的回響。周期激勵是一種典型的經常性激勵。由於周期激勵總可分解為若干個諧和激勵之和,故根據疊加原理,只要求出系統對各個諧和激勵的回響,再把它們疊加起來,就可得到系統對周期激勵的總回響。單自由度帶阻尼的系統在諧和激勵
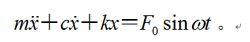
強迫振動的作用下,運動微分方程可寫作:
強迫振動其回響是兩部分的和,一部分是阻尼振動的回響,這部分隨時間增大而迅速衰減;另一部分受迫振動的回響可寫作:
強迫振動
強迫振動式中
強迫振動h/ F= H(),為定常回響振幅與激勵振幅之比,表征幅頻特性,或稱增益函式; ψ為定常回響和激勵的相位差,表征相頻特性。它們與激勵頻率
強迫振動的關係見圖5和圖6。
從幅頻曲線(圖5)可以看出,在小阻尼情況下,幅頻曲線具有單峰;阻尼愈小,峰愈陡;對應於峰頂的頻率稱為系統的共振頻率。在小阻尼情況,共振頻率與固有頻率差別不大。當激振頻率與固有頻率接近時,振幅急劇增加,這種現象稱為共振(諧振)。在共振時,系統的增益取極大值,即受迫振動最為激烈。故在一般情形下,總是力求避免出現共振,除非某些儀器與設備要利用共振來取得大幅度振動。
強迫振動從相頻曲線(圖6)可以看出,不論阻尼大小,在 ω處,相位差 ψ=π/2,這一特點可有效地用於共振測量。
除了定常激勵外,系統有時還會遇到非定常激勵。它大致可以分為兩類:一是突發性的衝擊作用。二是任意性的持久作用。在非定常激勵下,系統的回響也是非定常的。
分析非定常振動的一個有力工具是脈衝回響法。它用系統的單位脈衝輸入的瞬態回響描述系統的動態特性。單位脈衝可以用δ函式表示。在工程上,δ函式常定義為:
強迫振動式中0表示 t軸上從左邊趨於零的點;0表示從右邊趨於0的點。
強迫振動
強迫振動系統對應於在 t=0時作用的單位脈衝所產生的回響 h( t),稱為脈衝回響函式。假定系統在脈衝作用之前是靜止的,則當 t<0時,有 h( t)=0。知道系統的脈衝回響函式,就可以求系統對任意輸入 x( t)的回響。這時,可以把 x( t)看作一系列脈衝微元
強迫振動的和(圖7)。
強迫振動相當於在
強迫振動時作用的一個脈衝,系統對應於它的回響為:
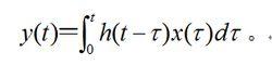
強迫振動基於疊加原理,系統對應於 x( t)的總回響為:
強迫振動這一積分稱為褶積積分或疊加積分。
