定義
弱導數弱導數作用於那些 勒貝格可積的函式,而不必預設函式的可微性。一個典型的勒貝格可積函式的空間是。在分布中,可以定義一個更一般的微分概念。
弱導數
弱導數
弱導數
弱導數令 是一個在 中的勒貝格可積的函式,稱 是 的一個 弱導數,如果
弱導數
弱導數
弱導數其中 是任意一個連續可微的函式,並且滿足 。
弱導數
弱導數
弱導數
弱導數
弱導數
弱導數
弱導數
弱導數
弱導數推廣到 維的情形,如果 和 是 中的函式(在某個開集 中局部可積),並且 是一個多重指標,那么 稱為 的 次弱微分,如果
弱導數
弱導數
弱導數其中 是一個任意給定的函式,即給定的支撐集含於 的無窮可微的函式。
弱導數
弱導數如果 的弱導數存在,一般被記為 。可以證明,一個函式的弱微分在測度意義是唯一的,即如果有兩個不同的弱導數,其僅可能在一個零測集上存在差異 。
例子
弱導數
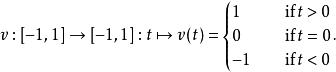
弱導數函式 在 並不可微,但具有以下被稱為符號函式的弱導數:
弱導數性質
如果兩個函式是相同函式的弱導數,那么它們除了在一個勒貝格測度為零的集合上以外相等,也就是說,它們幾乎處處相等。如果我們考慮函式的等價類,其中兩個函式是等價的如果它們幾乎處處相等,那么弱導數是唯一的。
弱導數此外,如果 是可微的,那么它的弱導數與導數相同。因此弱導數是導數的推廣。更進一步,兩個函式的和與積的導數公式對弱導數也是成立的 。
