基本介紹
弧長函式定義 設函式f(x)在區間(a,b)上具有連續導數,曲線y=f(x)在每點處都存在切線,如圖1所示。在曲線y=f(x)上取定一點作為計算弧長的起點,另外任取一點N(x,y),則從點M到點1N的有向弧長(和弧的長度不同)記為s,它是x的函式,稱為 弧長 函式,記為
弧長函式
弧長函式
弧長函式我們規定:當點N在點M的右側()時,s為正值;當點N在點M的左側()時,s為負值。所以弧長函式是x的單調增加函式 。
圖1弧長函式的導數和微分
定理1 設函式y=f(x)在[a,b]上連續,在(a,b)內具有一階連續導數,則弧長函式s(x)可微,且
弧長函式則(1)式稱為弧微分公式 。
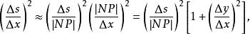
證明如圖1所示,當橫坐標由x變為x+△x時,它在曲線上對應的點為P,對應於x的增量△x,弧長函式的增量為
弧長函式
弧長函式
弧長函式當P與N充分接近時,弧的長度△s近似地可以用其所對應的弦NP的長度來代替,如圖1所示,且
弧長函式因為
弧長函式或
弧長函式
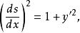
弧長函式當時,上式兩端取極限可得
弧長函式因為s(x)是x的單調增加函式,所以取
弧長函式由此可得弧長微分公式
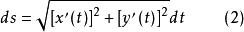
弧長函式如果曲線的方程是由參數方程
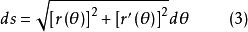
弧長函式或極坐標方程
弧長函式
弧長函式給出,且均有連續導數,則分別有弧長微分公式
弧長函式和
弧長函式
弧長函式(2)式是顯然的,在極坐標的情況下,所以
弧長函式
