基本介紹
區域函式這個概念,是人們在實踐活動中可以直接體驗到的。例如,地球上區域的面積隨著這個區域的不同而不同,又如非均勻金屬絲的質量仍隨著所取一段l的變化而變化,所以m就是l的函式,m=m(l) 。
定義 一般地,若變數u隨著區域σ的變化而變化,我們就稱u是區域σ的函式,記為
區域函式區域函式的導數—密度函式
在引進二重積分時,討論從物體的密度求質量的問題,這裡要著重指出,物體的密度實際上是區域函式的某種導數,同一元函式的導數情形相似,利用極限可以從區域函式導出各種密度函式來 。
區域函式
區域函式
區域函式
區域函式
區域函式
區域函式
區域函式
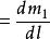
區域函式例如,當我們討論非均勻細金屬絲的質量分布時,為了刻劃質量在各點的不均勻性,就要引進線密度概念。設細絲質量為m₁=m₁(l),它是線段l的函式,M是金屬絲上的點,取含有點M的小段,也用來表示這小段的長度,就是這一段細絲的平均密度;當收縮到點M時,平均密度的極限值稱為細絲在點M的線密度,記為μ₁(M),這是從區域函式m₁(l)誘導出來的點函式,也就是當收縮到點M,因而隨著的消失而消失時所保留下來的關係。我們也記為μ₁(M),隨之有微分公式
區域函式
區域函式其中是曲線(細絲)的弧長元素。
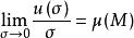
一般地,設σ是空間Ω的區域,u(σ)是區域σ的函式,區域的度量(長度,面積或體積)仍記為σ,將σ無限細分,使得區域σ收縮到一點M,其度量σ→0,如果
區域函式
區域函式存在,則稱μ(M)是u(σ)的密度,記為,它是點M的函式,它的微分形式是
區域函式例如,當σ是三維空間中的曲面時,μ(M)就是曲面的面密度,當σ是三維空間的物體時,μ(M)就是體密度。具體寫出時,μ(M)都是x,y,z三元函式,但應該注意它們是從不同的區域函式導出的 。
密度函式的積分
區域函式
區域函式
區域函式一元函式的微分和積分是高等數學中的一對基本矛盾,它們之間的對立統一,構成一元函式微積分學非常生動豐富的內容,這是辯證法在數學中的一個重要運用,相應地在多元函式的微積分中也是如此,上面已引進了各種區域函式的導數和微分的概念,得到區域函式u(σ)和密度函式μ(M)之間的關係:。根據對立統一的觀點,如果將在區域σ上重新無限累加起來,就得到積分:。由於積分區域的不同,就有各種不同形式的積分;這些積分,無非是各種形式的區域函式罷了。下面分幾方面來敘述 。
1.直線上的線密度μ₁(x)和單積分
如果已知非均勻細桿的密度μ₁,求細桿的質量m,就是求積分
區域函式
區域函式其中.
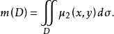
2.平面上的面密度μ₂(x,y)和二重積分
如果已知薄片的密度μ₂(x,y),求薄片的質量,就是求二重積分
區域函式3.體密度μ₃(x,y,z)和三重積分
如果已知物體的密度μ₃(x,y,z),求這物體的質量,就是求三重積分
區域函式4.線密度和關於弧長元素ds的積分
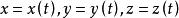
空間曲線的弧長,也是由內接折線段長度之和的極限來表達,同平面曲線的情形相類似,空間曲線的弧長微分
區域函式
區域函式如果曲線的方程為,則
區域函式
區域函式曲線段的質量就是質量微元的無限積累:
區域函式這種形式的積分稱為函式μ₁(M)在曲線段l上關於弧長元素ds
區域函式
區域函式的積分。如果曲線的方程為,l的端點A,B所對應的參數為,那么這個積分可按下式計算 :
區域函式
