基本介紹
弦勾求股作圖
弦勾求股作圖弦勾求股作圖亦稱弦股求勾作圖,即作 ,是基本作圖題(作圖成法)之一。具體表述為:已知線段a和b,且a>b,求作線段x,使 ,其具體作法是:
1.作線段AB=a;
2.以AB的中點為圓心,AB/2為半徑作半圓弧;
3.以A為圓心,線段b為半徑作弧,交半圓弧於點C;
4.連結BC,則線段BC為所求線段x。
圖1相關歷史介紹
《周髀算經》
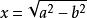
我國古代,把直角三角形的兩條直角邊叫做勾和股,斜邊叫做弦。在數學古書《周髀算經》中,曾記載了周公和商高的一段問答,其中談到“故折矩,以為勾廣三,股修四,徑隅五”。“勾廣”就是勾長,“股修”就是股長,“徑隅”就是弦長。這句話的意思是說,如果將一根直尺折成一個直角,若短直角邊的長為3,長直角邊的長為4,那么斜邊的長一定為5。在《周髀算經》中記載的榮方和陳子的問答中,談到了由勾股求弦的一般方法“勾股各自乘,並而開方除之”。可見古代勞動人民已將勾股定理運用於生產實踐之中。一般認為《周髀算經》成書於公元前1世紀,可見我國至少在2100年前就發現了勾股定理。
解勾股形
《九章》勾股章提出了若干已知勾股形三邊中二者的和差等因素,求其邊長的例題。趙爽、劉徽、賈憲先後作了進一步的發展,提出了一般性的公式及其證明。
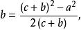
國內外流行的印度蓮花問題實際上是《九章》“引葭赴岸”題的改寫。此題是:有一水池,方1丈,一株葭[jia佳,初生的蘆葦]生在中央,高出水面1尺,引葭赴岸,恰恰與岸邊相齊。問水深、葭長各多少?如圖2,劉徽指出,水池邊長的一半為勾a,水深為股b,葭長為弦c,葭高於
圖2 引葭赴岸
圖3 竹高折地水面者是弦股差c-b,這是已知勾與弦股差,求股、弦的問題:
弦勾求股作圖
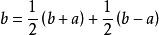
弦勾求股作圖1989年語文高考試卷有一古文今譯題便采自《九章》勾股章“竹高折地”問:今有一株竹高1丈,被折斷,末梢抵地,抵地處距竹根3尺,問剩餘高多少?如圖3,劉徽指出,抵地處至竹根距離是勾a,剩餘的高是股b,折斷部分是弦c,則竹高就是股弦和c+b,此是已知勾與股弦和,求股的問題:
弦勾求股作圖這兩類題目互相返覆,劉徽以出入相補原理證明之。
有一門戶,高比寬多6尺8寸,兩角相距1丈。問此門戶高、寬各多少?劉徽認為,將戶寬作為勾a,高為股b,兩角相距為弦c,那么這是一個已知弦c與股勾差b-a,求勾、股的問題。《九章》的解法經劉徽改寫成
弦勾求股作圖
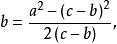
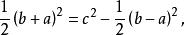
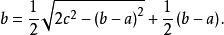
弦勾求股作圖劉徽的出入相補證明方法是:以勾股和b+a為邊長作正方形,稱為大方,面積(a+b)²;在其內部作一中方,其頂點在大方每邊a、b的分點上,其邊長自然為c,面積c²;在中方內部作四個以a、b、c為邊長的勾股形,每一個面積為ab/2,稱為朱冪。中方除去四個勾股形,餘一個以b-a為邊長的正方形,稱為黃方,面積為(b-a)²,如圖4,大方有八個朱冪,一個黃冪,中方有四個朱冪,一個黃冪,因此,中方減去半個黃冪等於半個大方:
弦勾求股作圖
弦勾求股作圖於是
弦勾求股作圖而由
弦勾求股作圖
弦勾求股作圖
圖4 已知弦與股勾差求勾股的證明有一門戶不知高、寬,有人持一竹竿,不知長短,橫著出門,長了4尺,豎著出門,長了2尺,斜著恰好能出門。問門的高、寬、斜各多少?劉徽把門戶的高、寬、斜分別作為勾、股、弦,此題是已知弦勾差c-a、弦股差c-b,求勾、股、弦的問題。《九章》給出的公式是:
弦勾求股作圖
弦勾求股作圖
弦勾求股作圖
圖5(1)已知弦勾差弦股差求勾股弦的證明
圖5(2)已知弦勾差弦股差求勾股弦的證明
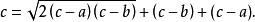
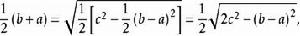
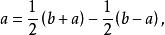
圖5(3)已知弦勾差弦股差求勾股弦的證明為了證明這些公式,劉徽首先指出了在弦冪中勾冪與股冪的相互位置,或矩於表,或方於里:若股冪為方形,則勾冪作為勾矩居於股方之表,如圖5(1);反之亦然,如圖5(2)。劉徽將其中一個圖形旋轉180°,與另一個重合,則成為圖5(3)的情形。勾矩c²-b²與股矩c-a的面積之和應為弦冪c²。在圖中,這兩者在兩角重合於兩個以c-b為寬、c-a為長的長方形,其面積為2(c-a)(c-b)。而弦冪中卻有一個以a+b-c為邊長的小黃方未被勾矩與股矩填滿。顯然,小黃方的面積(a+b-c)²應等於2(c-a)(c-b),開方
弦勾求股作圖由 a=(a+b-c)+(c-b),
b=(a+b-c)+(c-a),
c=(a+b-c)+(c-b)+(c-a)便證明了上述三式。
北宋賈憲把《九章》解勾股形的四個類型的方法抽象成一般性公式。楊輝又進而總結出a、b、c、c±a、c±b、b±a、a+b±c、c±(b-a)13種關係及變成b-a、c-b、a+b-c的段數,稱作“勾股生變十三名圖”。這13種關係包括了勾股形中勾、股、弦及其和、差的全部可能的關係,對勾股理論起著提綱挈領的作用。

