簡介
弗雷歇-泰勒公式是經典的泰勒公式在F微分意義下的推廣。
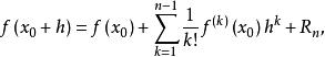
設 X 和Y是巴拿赫空間,Ω是 X 的開凸子集,x∈Ω,f:Ω→Y。若 f 在Ω上存在 n 階 F導運算元 f ,則對任意的h∈X,x+h∈Ω,成立下述泰勒公式
弗雷歇-泰勒公式
弗雷歇-泰勒公式且
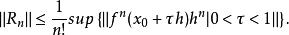
推論
若f 在Ω上還是連續的,則有
弗雷歇-泰勒公式泰勒公式
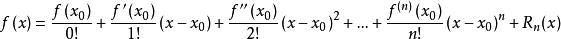
數學中,泰勒公式是一個用函式在某點的信息描述其附近取值的公式,是將一個在x=x處具有n階導數的函式f(x)利用關於(x-x)的n次多項式來逼近函式的方法。
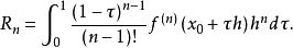
弗雷歇-泰勒公式若函式f(x)在包含x的某個閉區間[a,b]上具有n階導數,且在開區間(a,b)上具有n+1階導數,則對閉區間[a,b]上任意一點x,成立下式:其中,f(x)表示f(x)的n階導數,等號後的多項式稱為函式f(x)在x處的泰勒展開式,剩餘的R(x)是泰勒公式的餘項,是(x-x) 的高階無窮小。
