簡介
弗羅貝尼烏斯方法是尋求n階方程在正則奇點鄰域的解的一種方法。
實例
以二階方程為例來說明這個方法,即討論
弗羅貝尼烏斯方法
弗羅貝尼烏斯方法依正則奇點假設,取,而
弗羅貝尼烏斯方法(1)即化為
弗羅貝尼烏斯方法弗羅貝尼烏斯建議取形式解
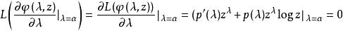
弗羅貝尼烏斯方法使對(1)要求滿足
弗羅貝尼烏斯方法
弗羅貝尼烏斯方法
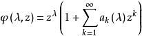
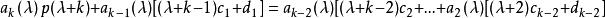
弗羅貝尼烏斯方法其中,設α,β為 p(λ)的兩個根,將φ 的表達式代入(2)式,可得,及時 k>0時
弗羅貝尼烏斯方法
弗羅貝尼烏斯方法
弗羅貝尼烏斯方法
弗羅貝尼烏斯方法只要,即可逐次遞推求出各係數,從而得解
結論
下面是三種情況對應得結論:
弗羅貝尼烏斯方法1、α-β 非整數,此時,故得第二個解
弗羅貝尼烏斯方法
弗羅貝尼烏斯方法2、α=β,此時
弗羅貝尼烏斯方法故得第二個解
弗羅貝尼烏斯方法
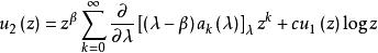
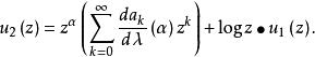
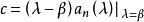
弗羅貝尼烏斯方法3、 為整數,可得
弗羅貝尼烏斯方法
弗羅貝尼烏斯方法其中。
