簡介
弗洛里-哈金斯溶液理論基於幾條簡單而理想化的假設,將高分子溶液體系考慮為“似晶格”體系,考慮了高分子和溶劑分子在尺寸上的很大區別對混合熵變的影響和高分子之間與高分子-溶劑之間作用力不同對混合時內能變化的影響。'弗洛里-哈金斯溶液理論具有簡潔的形式,能較好地與試驗結果吻合。 按照該理論,在一定溫度下,高分子和溶劑分子混合時的亥姆霍茲自由能變化等於:
弗洛里-哈金斯溶液理論
弗洛里-哈金斯溶液理論
弗洛里-哈金斯溶液理論
弗洛里-哈金斯溶液理論
弗洛里-哈金斯溶液理論
弗洛里-哈金斯溶液理論
弗洛里-哈金斯溶液理論
弗洛里-哈金斯溶液理論
弗洛里-哈金斯溶液理論等式左邊的指的是高分子和溶劑混合後的體系亥姆霍茲自由能和純組分的亥姆霍茲自由能總和的差值,有的文獻或教材則寫作吉布斯能的差值。等式右邊的摩爾數和指的是溶劑的摩爾數和體積分數,而和分別指的是高分子的摩爾數和體積分數,參數是描述高分子和溶劑作用的參數,是氣體常數,是熱力學溫度。
高分子溶液與理想溶液的偏差
根據吉布斯能的定義
弗洛里-哈金斯溶液理論
弗洛里-哈金斯溶液理論
弗洛里-哈金斯溶液理論對於高分子溶液而言,其混合過程中的內能變化和混合熵變,均與理想溶液的有所不同。
•混合內能變化方面:理想溶液中溶劑分子間、溶質和溶劑分子間以及溶質分子之間的作用力均相等,故混合時內能變化=0,但高分子之間、高分子和溶劑之間的作用均不等於溶劑分子之間的作用,混合時內能變化並不等於零。
•混合熵變方面:高分子是由很多重複單元組成的長鏈分子,其重複單元又有不同的構象,導致了高分子可以採取的排列方式遠比同樣分子數的小分子可以採取的排列方式要多,這使得混合熵變大大增加。
可見,適用於理想溶液的公式不足以描述高分子溶液的性質。
似晶格模型
1930年代末,愛德華·古根海姆(Edward A. Guggenheim)等人開始將溶液考慮成類似晶格的狀況。1941年6月,保羅·弗洛里參加了康奈爾大學的一次學術報告會,哈金斯在會上作了關於高分子溶液性質的報告,正在研究非線性分子凝膠點等性質的弗洛里和哈金斯進行了交流,兩人建立了終生的友誼。不久之後兩人分別發表了文章提出了高分子溶液的“似晶格”模型,這個模型有以下三點假定:
•溶液中分子的排列和晶體一樣,是規整的晶格排列,每個溶劑分子占一個格子,每個高分子占x個相連的格子,此處的x是高分子鏈所具有的鏈段數,且每個鏈段和溶劑分子體積近似相等,但x不一定等於聚合度。
•高分子鏈是完全柔順的,所有構象具有相同的能量。
•溶液中的高分子鏈段是均勻分布的,鏈段占據任一格子的幾率相等。
推導
混合熵的表達式
首先計算混合所帶來的熵變。根據統計熱力學裡的玻爾茲曼熵公式
弗洛里-哈金斯溶液理論
弗洛里-哈金斯溶液理論
弗洛里-哈金斯溶液理論
弗洛里-哈金斯溶液理論
弗洛里-哈金斯溶液理論
弗洛里-哈金斯溶液理論
弗洛里-哈金斯溶液理論
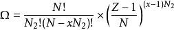
弗洛里-哈金斯溶液理論此處的是玻爾茲曼常數,為個溶劑分子和個高分子組成的溶液的微觀狀態數,等於在個格子裡放置個溶劑分子和個高分子的排列方法的總數。
弗洛里-哈金斯溶液理論
弗洛里-哈金斯溶液理論
弗洛里-哈金斯溶液理論假定已經有j個高分子被無規地放進晶格里了,則還剩下(N-xj)個空格,則首先計算第j+1個高分子放入這些空格中的放置方法數目。當該高分子的第一個鏈段放置進晶格里之後,根據鏈段分布均勻的假定,其附近的平均空著的晶格數與晶格的配位數Z成正比,還和該格子未被高分子的鏈段占據的平均機率成正比,所以第二個鏈段的放置方法為。通過機率計算,可以得到排列方法的總數。
通過玻爾茲曼熵公式和斯特林公式,可以得到:
弗洛里-哈金斯溶液理論如用體積分數表示的話
弗洛里-哈金斯溶液理論
弗洛里-哈金斯溶液理論
弗洛里-哈金斯溶液理論這一等式和理想溶液的混合熵:
弗洛里-哈金斯溶液理論
弗洛里-哈金斯溶液理論形式相似,唯一的區別是用體積分數代替了摩爾分數。由於高分子在溶液中既比同樣個數的小分子大很多,所以求得的混合熵遠比用摩爾分數求得的要大;而高分子的鏈段間又彼此連線,起不到x個小分子的作用,所以其混合熵又比個小分子與N個溶劑分子混合時要小。
混合內能變化的表達式
弗洛里-哈金斯溶液理論
弗洛里-哈金斯溶液理論
弗洛里-哈金斯溶液理論在高分子的溶液體系中有三種作用,令其中鏈段與鏈段的結合能為,鏈段與溶劑的結合能為、溶劑與溶劑之間的結合能為。則生成一對鏈段-溶劑時的結合能等於
弗洛里-哈金斯溶液理論同樣考慮各自被溶劑占據的機率之後,溶液中所有的鏈段-溶劑作用的總對數為:
弗洛里-哈金斯溶液理論
弗洛里-哈金斯溶液理論這裡的指的是配位數,即某個晶格附近最近的晶格位置。 於是,高分子和溶劑的混合內能變化等於:
弗洛里-哈金斯溶液理論
弗洛里-哈金斯溶液理論高分子和溶液的相互作用參數定義為:,被稱為高分子-溶劑的相互作用參數,簡稱相互作用參數,這一參數反映了高分子與溶劑混合時發生的自由能變化,且只與溶劑和溶質的自身性質有關,於是內能變化等於
弗洛里-哈金斯溶液理論將混合熵變和內能變化的表示式代入亥姆霍茲自由能的定義式,就得到了弗洛里-哈金斯公式
弗洛里-哈金斯溶液理論
弗洛里-哈金斯溶液理論
弗洛里-哈金斯溶液理論有的文獻與教科書認為混合內能變化近似等於混合焓變,使用代替即得到吉布斯能變的表達式。
相互作用參數的測量與估算
相互作用參數可以通過表征高分子和溶劑作用的溶度參數進行估算
弗洛里-哈金斯溶液理論
弗洛里-哈金斯溶液理論
弗洛里-哈金斯溶液理論
弗洛里-哈金斯溶液理論這裡的是高分子鏈的一個鏈段的真實體積,而和分別指高分子和溶劑的溶度參數。
如需實際測量相互作用參數,則可以藉助於蒸氣壓或滲透壓的測量 。弗洛里-哈金斯溶液理論給出了混合自由能變和體積分數的關係,溶質和溶劑的化學勢變化可通過自由能變求出,而對於稀溶液,溶劑的化學勢變化與蒸汽壓變化具有以下關係
弗洛里-哈金斯溶液理論
弗洛里-哈金斯溶液理論所以
可以通過高分子的稀溶液的蒸汽壓p1和純溶劑的蒸汽壓的測量求得相互作用參數,或通過測量滲透壓,通過第二維利係數求得。
不足
弗洛里-哈金斯理論沒有考慮高分子鏈摺疊帶來的熵,實際上當晶態高分子溶解時,其結晶結構會發生變化;即使是無定形的高分子,分子鏈的構象也會發生變化,這些變化都會帶來附加的熵和能量的變化,而高分子在溶液中的實際分布也並非均一。弗洛里和克雷格鮑姆(W.R.Krigbaum)之後發展了弗洛里-克雷格鮑姆理論,將高分子鏈段在溶液中的分布描述為高分子質心為中心的常態分配,所得到的模型更接近試驗結果。
