源起
度中心性(Degree Centrality)這一概念起源於社會網路研究。最初對社會網路感興趣的是英國著名的人類學家布朗(Radcliffe Brown),他在對社會結構的關注中,以相對來說非技術的形式提出了“社會網路”(Social Network)的思想(參見布朗,1999)。從20世紀30年代到70年代,越來越多的社會人類學家和社會學家開始構建布朗的“社會結構”和“社會網路”概念,一些關鍵概念也應運而生,諸如“密度”(Density)、“中心度”(Centrality)、“三方關係”(Triad)等概念如雨後春筍,紛紛湧現。 其中,美國加州大學艾爾溫分校社會學系和數理行為科學研究所的研究教授林頓 C·弗里曼(Linton C. Freeman)於1979年在美國社會網路雜誌上發表《社會網路中心度的概念說明》(Centrality in social networks conceptual clarification ) 一文中正式提出了度中心性(Degree Centrality)的概念。
學科背景
在圖論(Graph Theory)與網路分析(Network Analysis)中,中心性(Centrality)是判定網路中節點重要性的指標,是節點重要性的量化。 這些中心性度量指標最初套用在社會網路中,隨後被推廣到其它類型網路的分析中。在社會網路中,一項基本任務是需要鑑定一群人中哪些人比其他人更具有影響力,幫助研究人員分析和理解扮演者在網路中擔當的角色。為完成這種分析,這些人以及人與人之間的聯繫被模型化成網路圖,網路圖中的節點代表人,節點之間的連邊表示人與人之間的聯繫。基於建立起來的網路結構圖,使用一系列中心性度量方法就可以計算出哪個個體比其他個體更重要。
對於節點重要性的解釋有很多種,不同的解釋下判定中心性的度量指標也有所不同,但當前最主要的度量指標為點度中心性(Degree Centrality)、接近中心性/親密中心性(Closeness Centrality)、中介中心性/中間中心性(Between Centrality) 、特徵向量中心性(Eigenvector Centrality)四種。其中,點度中心性(Degree Centrality)是最先被提出的、概念相對簡單的一個中心性度量指標。
定義
度中心性(Degree Centrality)是在網路分析中刻畫節點中心性(Centrality)的最直接度量指標。一個節點的節點度越大就意味著這個節點的度中心性越高,該節點在網路中就越重要。
計算方法
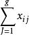
在無向圖(Undirected Graph)中,度中心性測量網路中一個節點與所有其它節點相聯繫的程度。對於一個擁有g個節點的無向圖,節點i的度中心性是i與其它g-1個節點的直接聯繫總數,用矩陣表示如下:
度中心性
度中心性其中C(N)表示節點i的度中心度, 用於計算節點i與其它g-1個j節點(i≠j,排除i與自身的聯繫;也就是說,主對角線的值可以忽略)之間的直接聯繫的數量。C(N)的計算就是簡單地將節點i在網路矩陣中對應的行或列所在的單元格值加總。(因為無向關係構成一個對稱性數據矩陣,因此行和列相同的單元格的值相同)
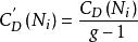
如此測量的節點度中心性,不僅反映了每個節點與其它節點的關聯性,而且也視網路規模(g)而定。也就是說,網路規模越大,度中心性的最大可能值就越高。為了消除網路規模變化對度中心性的影響,斯坦利·沃瑟曼 (Stanley Wasserman)和凱薩琳·福斯特 (Katherine Faust)(1994)提出了一個標準化的測量公式:
度中心性在這個標準化度中心性測量公式中,使用節點i的度中心性值除以其它g-1個節點最大可能的連線數,得到與節點i有直接聯繫的網路節點的比例。這個比例範圍從0.0到1.0,0.0表示與任何節點都沒有聯繫(例如一個孤點),1.0表示與每一個節點都有直接聯繫。在社會網路中,標準化的行為人的度中心性測量行為人在諸多關係中的參與程度。得到高分的行為人是網路中最顯眼的參與者。如果標準化度中心性值越接近1.00,那么行為人在關係網路中的參與度越高。
相關概念
度中心性只是衡量節點中心性的指標之一,以下舉出其它三個衡量節點中心性的主要指標:
接近中心性(Closeness Centrality)。反映在網路中某一節點與其他節點之間的接近程度。
中介中心性/中間中心性(Between Centrality) 。以經過某個節點的最短路徑數目來刻畫節點重要性的指標。
特徵向量中心性(Eigenvector Centrality)。一個節點的重要性既取決於其鄰居節點的數量(即該節點的度),也取決於其鄰居節點的重要性。
延伸閱讀
[美]林頓 C·弗里曼(Linton C. Freeman)著;張文宏等 譯,《社會網路分析發展史:一項科學社會學的研究》,中國人民大學出版社。
[美]戴維·諾克(David Knoke),楊松著;李蘭譯,《社會網路分析(第二版)》,上海人民出版社。
汪小帆 李翔 陳關榮 編著,《網路科學導論》,高等教育出版社。
[美]Maksim Tsvetovat,Alexander Kouznetsov著;王薇,王成軍,王穎,劉璟譯,《社會網路分析方法與實踐》,機械工業出版社。
[美]馬丁·奇達夫(Martin Kilduff),蔡文琳著;王鳳彬,朱超威等 譯,《社會網路與組織》,中國人民大學出版社。
[美]大衛·伊斯利(David Easley),[美]喬恩·克萊因伯格(Jon Kleinberg) 著;李曉明等 譯,《網路、群體與市場:揭示高度互聯世界的行為原理與效應機制》,清華大學出版社。
[美]斯坦利·沃瑟曼(Stanley Wasserman),凱薩琳·福斯特 (Katherine Faust)著;齊心 注釋,解說詞;陳禹 ,孫彩虹 譯,《社會網路分析:方法與套用 》,中國人民大學出版社。

