
而序列發生器就是產生一系列特定的信號的儀器
我們用設計序列發生器的過程來解釋序列發生器
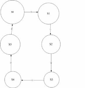
假設設計一個110100的序列發生器,開始確定6個狀態,110,101,010,100,001,011,分別用S0-S5表示,則狀態轉換圖位:
Q2 Q1 Q0 Q2' Q1' Q0' W2 W1 W0
1 1 0 1 0 1 s R S
1 0 1 0 1 0 R r s
0 1 0 1 0 0 S R r
1 0 0 0 0 1 R r S
0 0 1 0 1 1 r S r
0 1 1 1 1 0 S s R
根據上圖畫出卡諾圖就可以了。
可以用文字卡諾圖,再連線
