年繳純保險費的計算
年繳純保險費的計算包括:定期死亡保險年繳純保險費、定期生存保險年繳純保險費、終身壽險的年繳純保險費、兩全保險的年繳純保險費的計算。
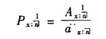
年繳純保險費假定A為各類保險的躉繳純保費,P為年繳純保費,由於P是每年支付的,設保費每年初繳納一次,那么保險人各年收取純保險費的累積現值為
年繳純保險費
年繳純保險費令
年繳純保險費
年繳純保險費則有
年繳純保險費
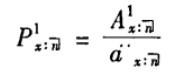
年繳純保險費1.定期死亡保險年繳純保險費
年繳純保險費如果繳費期限為t年,保險期限為n年(t<n),則有
年繳純保險費
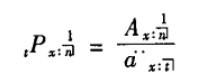
年繳純保險費2.定期生存保險年繳純保險費
年繳純保險費如果繳費期限為t年,保險期限為n年(t<n),則有
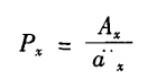
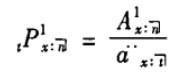
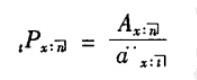
3.終身壽險的年繳純保費
年繳純保險費符號tPx,表示保險金額為1元,限期t年繳費的終身壽險年繳純保險費:
年繳純保險費保費採用終身繳費的終身壽險年繳純保險費的公式為
年繳純保險費
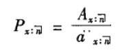
年繳純保險費4.兩全保險的年繳純保費
年繳純保險費如果繳費期限為t年,保險期限為n年(t<n),則有
相關條目
躉繳純保險費
參考文獻
1 尹應凱.保險學教程.格致出版社,2011.03
2 劉平.保險學原理與套用.清華大學出版社,2009.08
