定義
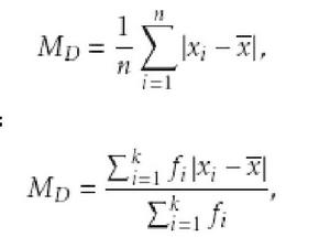
平均絕對離差(mean absolute deviation)是用樣本數據相對於其平均值的絕對距離來度量數據的離散程度。平均絕對離差也稱為 平均離差(mean deviation)。平均絕對離差定義為各數據與平均值的離差的絕對值的平均數 。
平均絕對離差設樣本的n個觀測值為 ,平均絕對離差為:
平均絕對離差對於分組數據,平均絕對離差為:
平均絕對離差
平均絕對離差
平均絕對離差
平均絕對離差其中 分別為第 組數據的頻數及組中值, 為數據分組的組數。
例1設有數據:1920,1700,1250,1150,1090,1041,1020,980,950,900,870,計算可得中位數仍為1041,IQR=1250—950=300。Q、Q、IQR的結果如圖2—15所示。從數據的散布情況看,該組數據集中於中位數的周圍。
平均絕對離差解:對於例1所示的數據,由式(1)計算,可得:。
與此相近的還有一種叫“ 平均差”的尺度,其定義為各變數與樣本的中位數差的絕對值的平均數。
平均絕對離差例2某縣黃牛的胸圍記錄是138.7,147.7,149.4,150.4,151.7cm,這時它們的中位數 ,平均差可用下式求出:
平均絕對離差
平均絕對離差
平均絕對離差平均差、方差和標準差運用了全部觀測值,與極差和IQR相比,在方法上做了一定的改進。但相對而言,平均絕對離差用得較少,在套用中用的較多的是方差和標準差,以便於估計總體的方差和標準差 。
平均離差的性質
平均離差作為散布特徵,其含義直觀且便於理解,但是因含絕對值而不便於計算。此外,平均離差用於統計推斷時,其統計性質也遠不如標準差優良,因此在統計推斷中,平均離差比標準差用得較少,這裡指出如下兩條性質:
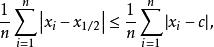
(1)對於任意常數c,有
平均絕對離差
平均絕對離差其中是中位數 。
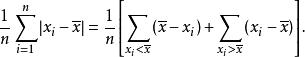
(2)平均離差可以按如下公式計算:
平均絕對離差
