定義
平均差是總體所有單位與其算術平均數的離差絕對值的算術平均數。平均差異大,表明各標誌值與算術平均數的差異程度越大,該算術平均數的代表性就越小;平均差越小,表明各標誌值與算術平均數的差異程度越小,該算術平均數的代表性就越大。因離差和為零,離差的平均數不能將離差和除以離差的個數求得,而必須將離差取絕對數來消除正負號。平均差是反應各標誌值與算術平均數之間的平均差異。
概念
平均差,英文為average deviation(A.D.)或mean deviation(M.D.),是一種平均離差,是總體所有單位與其算術平均數的離差絕對值的算術平均數。離差是總體各單位的標誌值與算術平均數之差。因離差和為零,離差的平均數不能將離差和除以離差的個數求得,而必須將離差取絕對數來消除正負號。
平均差是反映各標誌值與算術平均數之間的平均差異。平均差越大,表明各標誌值與算術平均數的差異程度越大,該算術平均數的代表性就越小;平均差越小,表明各標誌值與算術平均數的差異程度越小,該算術平均數的代表性就越大。
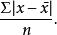
計算公式為:
平均差
平均差
平均差
平均差平均差(MD)=其中Σ為總計的符號,為變數為算術平均數,為變數值的個數。
算術平均數
算術平均數(Arithmetic mean)是表征數據集中趨勢的一個統計指標。 它是一組數據之和,除以這組數據個數/項數。
算術平均數在統計學上的優點,就是它較中位數、眾數更少受到隨機因素影響, 缺點是它更容易受到極端值影響。
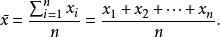
計算公式為:
平均差
平均差
平均差在統計學中,對樣本的平均值用表示,對母體數據的平均值用表示。 樣本平均數可作為母體平均數的一個不偏估計式。
參見
•標準差

