目的
試驗之目的在於測定土的沉降變形,了解土體在側限條件下的變形與時間~壓力的關係,結合其它試驗指標配合計算土的壓縮係數、壓縮模量,確定土壓縮性的高低。通過測定土樣在各級垂直荷載作用下產生的變形,計算各級荷載下相應的孔隙比,用以確定土的壓縮係數和壓縮模量等。
試驗原理
試樣裝在厚壁金屬容器內,上下各放透水石一塊,然後在試樣上分級施加垂直壓力P。記錄加壓後不同時間的垂直變形量,繪製不同荷載下垂直變形量Δh與時間t的關係曲線;垂直變形Δh與相應荷載P的關係曲線;空隙比e與荷載P的關係曲線。由於試樣受金屬厚壁容器的限制,不可能產生側向膨脹,土樣只有垂直變形,故該試驗稱為側限壓縮試驗。通過記錄加壓前后土樣空隙比的變化,建立變形和空隙比的關係,然後計算地基的壓縮模量。
儀器設備
常規固結試驗目前常用的壓縮試驗儀分槓桿加壓式和磅稱式兩種。試驗常用槓桿加壓式。常用型號WG—1B三聯中壓固結儀、WG—1C三聯低壓固結儀。
1、壓縮儀(土樣面積30cm2,土樣高度2cm),固結壓力應滿足12.5、25.0、50.0、100.0、200.0、300.0、400.0、600.0、800.0、1600.0kp的等級荷載,槓桿比1:12。
2、測微表(最大量程為10mm、最小解析度為0.01mm的百分表)。
3、透水石
試樣上下放透水石,以便於土樣受壓后土中空隙水排除。
操作步驟
1、環刀選用
按工程需要選擇(大環刀)50cm 或(小環刀)30cm 切土環刀(試驗用50cm 切土環刀),調整天平平衡,稱量環刀的重量m,計算初始密度ρ,填入表中。
2、套切試樣前環刀內壁塗一薄層凡士林,以減少試樣與環刀壁的摩擦及對試樣的擾動。整平試樣兩端用環刀套切試樣。
3、試樣製備
切取原狀土樣時刀口朝下,土層受壓方向應與天然土層受壓方向一致,並觀察土樣的層次、顏色、有無雜質等,如有雜質時取出並用余土填補空缺處,小心地邊壓邊削,注意避免環刀偏心入土,將土樣修成略大於環刀的土柱,直至試樣突出環刀為止,用鋼絲鋸拉斷土樣,然後修去上下兩端余土,再修平試樣兩端表面,擦淨環刀外壁,稱環刀與濕土的質量m,求得實驗前的濕密度ρ,立即用玻璃板將環刀兩端蓋上,防止水分蒸發。再用天平稱兩個鋁盒的重量 ,取10克左右的土樣,稱兩個鋁盒加濕土樣的重量,放在烘箱烘乾8h,稱鋁盒加乾土的重量,計算初始含水量W,並將有關數據填入表中。
4、安裝試樣
裝入護環,在固接儀底部的透水石上放濕潤的濾紙一張,將帶有環刀的試樣刀口朝上,再放濕潤的濾紙一張,然後放上透水石和加壓蓋板,以及定向鋼球。
5、固接容器和量表安裝
將裝好的固結容器放在加壓框架上,對準加壓框架正中,裝上量表,並調節其可伸長距離不大於8mm,然後檢查量表是否靈敏和垂直,使百分表長針正好對準“0”字,短針對準刻度的中間(注意要將百分表活動桿提到上部再調“0”。)
6、施加預壓荷載
在砝碼盤上加預壓荷載1kp(此時試樣所受壓力約1kpa),檢查試樣與儀器上下各部件之間接觸是否良好,如果良好則錶針轉動,然後微調錶盤,使長指針對準零點方便計算。
7、施加第一級荷載並測讀壓縮量
工程上載入大小與級數根據土質實際情況需要確定。本次實驗採用常規實驗確定用12.5、25、50、100、200、300 、400kpa等四級荷載順序加壓。施加第一級荷載P1=12.5kpa,注意加砝碼為吊盤+0.319kg+0.637 kg要輕放,避免發生衝擊,在加荷的同時開動秒表,記錄表讀數。根據SD128-84《土工試驗規程》,加荷後按下列時間順序記錄表讀數,工程上載入為時間24h,教學試驗受時間限制可選擇1min、2min、3min、 4min、5min、 6min、7min、8min 9min、10min所對應的百分表的讀數,並填入表中,卸下第一級荷載,按裝荷載的相反順序取出土樣。
8、根據上述施加一級荷載的步驟施加
P=12.5kpa (吊盤+0.319kg)
P=25kpa (吊盤+0.319kg+0.637kg)
P=50kpa (吊盤+0.319kg+0.637kg+1.275kg))
P=100kpa(吊盤+0.319kg+0.637kg+1.275kg+2.55kg);
P=200kpa(吊盤+0.319kg+0.637 kg+1.275kg+2.55kg+2.55kg);
P=300kpa(吊盤+0.319kg+0.637 kg+1.275kg+2.55kg+2.55kg+5.1kg)
P=400kpa (吊盤+0.319kg+0.637 kg+1.275kg+2.55kg+2.55kg+5.1kg+5.1kg)等各級荷載,並記錄壓縮量填在表中。
9、實驗結束,迅速拆除儀器各部件,將環刀中的試樣取出,洗淨環刀放到規定的地點。
試驗數據的記錄和資料整理
1、基本數據:
試樣面積S=50cm 給定土粒比重G=2.70(g/cm )試樣初始高度h=20mm ρ=1g/cm
2、計算試樣初始空隙比e:
常規固結試驗ρ—初始密度, w—初始含水率
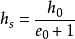
3、試樣顆粒淨高hs(mm)
常規固結試驗4、計算各級荷載下壓縮穩定後的空隙比ei
ΣΔhi—某一級荷載下土樣變形量(Ri-R0)mm,(Ri-R0)—百分表終讀數減去某一級荷載下的百分表初讀數。
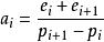
5、計算壓縮係數ai
某級荷載後(下一級)壓縮穩定後的空隙比
常規固結試驗p——某一級荷載值(kpa)
p——對應於時的荷載值(kpa)。
注意事項
1、在高壓壓縮試驗中,儀器變形量不能忽略;
2、濾紙浸濕後的變形量較大,因此,壓縮試驗要求使用薄濾紙或用孔徑較細的透水石而不使用濾紙,但這時易使透水石淤堵;
3、固結試驗僅進行需要固結係數的那幾級荷載,其它僅測讀穩定沉降量;
4、壓縮試驗中,使用卡薩格蘭德(Casagrande)方法確定前期固結應力時,前面幾級載入比應小於1;
5、壓縮試驗過程中,使載入槓桿始終保持水平。

