正文
常見的常微分方程中只有極少數的類型可以用初等函式顯式地寫出精確解析解。常見的有初等解的微分方程如常係數線性常微分方程解析解 alt=常微分方程近似解析解 align=absMiddle src="http://a2.att.hudong.com/70/15/01000000000000119081557226170_s.gif"> (1)
(2)
(3)
(4)
工程上常用的求近似解析解的辦法有兩種:
①線性化 例如,對單擺方程(3),當單擺角度不大時(如
),用φ代sinφ,使(3)線性化為 



由小參數問題還進一步引起大參數問題,亦稱奇攝動問題(見常微分方程攝動方法)。但在實際的工程技術問題中很多參數既不能看作小參數,也不能看作大參數,而又要求近似解析解,這就需要脫開線性化、小參數、大參數而去尋求一般性的近似解析解的求法,於是產生了近似解析解的研究。
對近似解析解要求它在參數和變數的特定範圍內滿足三個條件:①有簡單的解析表達式。無限項相加形式的解是不實用的。②解析表達式定性地正確(按問題的要求而定)。這是一般攝動方法中常遇到而沒有明確意識到的問題。③在給定的誤差範圍內與高精度的數值解可以定量地比較。亦即,誤差概念要具體,抽象的O(1)及O(1)在工程上是不實用的,因為具體的問題都有必須滿足的具體誤差要求。
為了達到這三個要求,一般可採取下列五個步驟:
①量綱分析與相似理論的考慮。這主要是抓住物理問題本質,減少參數個數,某些時候可將偏微分方程簡化為常微分方程,或將常微分方程簡化為代數方程,亦即減少自變數的個數,從而大大方便近似解析解的尋求,並可極大地減少計算量。
②定性分析與全局圖像的考慮。這主要是要了解相空間中軌線的全局定性圖像,以及不同區域的定性特點。解的首項一般應當定性地正確,以後各項逐次作定量的修正。這是許多技巧成功或失敗的關鍵一步。
③量級分析與粗估公式的考慮。具體問題按其具體數據都有大小之分,抓住主要矛盾,作出定性地正確,定量地合乎量級的粗的解析公式,並有意識地留下一些係數待定,以便進一步加以調整。
④數值分析與典型計算的考慮。利用計算機對典型參數組作精確數值計算,從中得到更多的信息,從而突破停留在小參數(或大參數)上的狹隘範圍,為近似解析解的作法,提供了全新的途徑。
⑤綜合上述四步,即可減少參數及變數的個數,突出主要方面作出合乎定性及量級的粗的解析形式的解,再利用數值信息使粗公式修改為較精的公式,這樣便作出了近似解析解。
下面舉兩個工程上的實際例子。
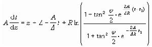
例1 求電解加工成型工藝中出現的一個微分方程的近似解析解。給定t對z的非線性常微分方程
(5)
它們的變化幅度為
0≤φ≤90°。要求在0≤t≤t1中函式
的近似解析解,其相對誤差在10%以內。 引入無量綱化參數:







(6)

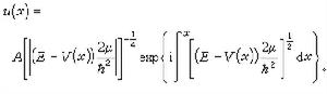
例2 求大型體育館通風設計中出現的一個微分積分方程的近似解析解。給定非線性微分積分方程
(7)
變數x及y變化範圍為0≤x≤50,0≤y≤30,參數A及θ0變化的範圍為3×10-4≤A≤2×10-1,0≤θ0≤15°,要求y=y(x)及V=V(x)的近似解析解,其中
(8)
將(7)對x微分,可化為常微分方程
(9)

(由(7)得出)。其解為y=y(x;A;tanθ0),這裡A可以看成小參數,用一般小參數法求解。但是用求近似解析解的方法,則首先減少參數,不論其為大參數或小參數。或引入新變數






由此即得相似規律 


從例1中還可以得到有限擾動法。例如,方程

,x=0,y=0,要對x>0求解,其中α≠0,b<0,|ƒ(x,y)|≤K(常數)。這時,可利用擾動項 ƒ(x,y)的有限性,疊代求解。方法是取y0呏0,以及
再用系列yn來逐次逼近y(x)。這種有限擾動法還可擴充到方程組。 參考書目
A. H. Nayfeh,Perturbation Methods, John Wiley & Sons, New York, 1973.
秦元勛:常微分方程近似解析解的理論與實踐,(Ⅰ)、(Ⅱ),《計算機套用與套用數學》,1975、1978。

