詳解
帕斯卡法則
帕斯卡法則
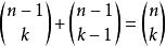
帕斯卡法則帕斯卡法則是組合數學上的一個關於二項式係數的恆等式。它說明對於正整數, ( ),
帕斯卡法則。
組合數學上的意義和證明
帕斯卡法則
帕斯卡法則帕斯卡的規則具有直觀的組合意義。回想起那個 在數我們有多少種方法可以選擇一個子集與b的元素出來,從一組與一個元素。因此,身份的右側 正在計算我們可以從具有n個元素的集合中獲取k-subset的方式。
現在,假設您將特定元素“X”與具有n個元素的集合區分開來。因此,每次選擇k個元素來形成子集時,都有兩種可能性:X屬於所選擇的子集。
帕斯卡法則如果X在子集中,您只需要從剩餘的n- 1個對象中選擇k- 1個對象(因為已知X將在子集中)。這可以在 方法。
帕斯卡法則當X不在子集中時,您需要從n- 1個非X對象中選擇子集中的所有k個元素。這可以在 方法。
帕斯卡法則
帕斯卡法則
帕斯卡法則我們得出結論,從n-set獲取k-subset的方法的數量,我們知道, 也是數字 + 。

