簡介
電矢量繞著傳輸方向勻速旋轉,且電矢量大小保持不變,矢量端點軌跡為圓,就是圓偏振光,如果相位差為-π/2,即電矢量作逆時針轉動,則稱為左旋光。
偏振光通過某些晶體時,其振動面以光的傳播方向為軸線發生旋轉的現象,稱為旋光現象。
偏振/極化及其方向的判斷
極化
在空間某一固定位置,沿波傳播方向觀察,電場矢量的大小和方向隨時間的變化特性。
右手圓極化
電場矢量順時針旋轉(判斷:拇指指向傳播方向,四指與電場旋轉方向一致:右手定則)。
左手圓極化
電場矢量反時針旋轉(旋轉方向與四指相反)。
左旋和右旋
對著光傳播的方向觀察,合成電矢量是順時針方向旋轉時,偏振是右旋的,反之是左旋的 。
右手圓極化對應左旋;左手圓極化對應右旋。
左旋光
左旋光
左旋光
左旋光當時,時,。
(1)當E沿著+Z方向傳播時:
左旋光對著光傳播方向看時:順時針,右旋 ;
左旋光順著光傳播方向看時:逆時針,左手圓極化;
(2)當E沿著-Z方向傳播時::
左旋光對著光傳播方向看時,逆時針,左旋 ;
左旋光順著光傳播方向看時:順時針,右手圓極化。
舉例
左旋光一平面波的電場矢量是為實數,試確定它的極化性質。
左旋光
左旋光令Z=0,t=0時,E(t)在+X軸上,wt=π/2時,E(t)在+Y軸上。
所以電場矢量E由+X→+Y方向旋轉,又因為波沿+Z方向傳播,因而該波是右手圓極化,左旋。
圓偏振光和橢圓偏振光
旋轉電矢量端點描出圓軌跡的光稱圓偏振光,是橢圓偏振光的特殊情形。當傳播方向相同,振動方向相互垂直且相位差恆定為φ=(2m±1/2)π的兩平面偏振光疊加後可合成電矢量有規則變化的圓偏振光 。
電矢量的方向不變,而大小隨相位改變,這種光稱為完全偏振光,如果在光的傳播方向上各點的電矢量在確定的平面內,這種光被稱為平面偏振光,如果電矢量的端點的軌跡為一條直線,此時的平面偏振光又稱為線偏振光,光的電矢量末端在垂直於傳播方向的平面上描繪的軌跡為一直線的偏振光。當傳播方向相同,振動方向相互垂直且相位差恆定為φ=(2m±1/2)π的兩平面偏振光疊加後可合成電矢量有規則變化的圓偏振光。圓偏振光的電矢量大小保持不變,而方向隨時間均勻變化。相位差為φ=(2m-1/2)π時為左旋圓偏振光,相位差為φ=(2m+1/2)π時為右旋圓偏振光。
在我們的觀察時間段中平均後,圓偏振光看上去是與自然光一樣的。但是圓偏振光的偏振方向是按一定規律變化的,而自然光的偏振方向變化是隨機的,沒有規律的。
左旋光若圓偏振光的光矢量隨時間變化是右旋的,則這種圓偏振光叫做右旋圓偏振光,反之,叫做左旋圓偏振光。若光矢量在時間上是右旋的,則在空間上一定是左旋,即“空左時右”。
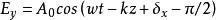
設線偏振光正入射到波片上,振動方向與光軸成θ角,入射光被分成o光(沿y軸,初相位為φy),和e光(沿x軸,初相位為φx)。
o光和e光從波片出射後:有恆定的相位差,傳播速度相同。
兩線偏振光的波動方程為:
左旋光
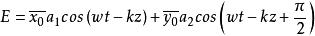
左旋光合成波的波動方程為:
左旋光
左旋光電矢量E作周期性的運動,與有相同的周期w。
左旋光
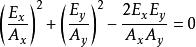
左旋光由的式子消除t得到關於的方程,即為電矢量E的矢端軌跡方程:
左旋光變換形式得到橢圓的一般方程:
左旋光結論:電矢量E的矢端軌跡為橢圓-橢圓偏振光。
左旋光邊長為的矩形,橢圓與其內切:
左旋光
左旋光
左旋光橢圓的形狀與和有關,分析幾種特殊情形:
左旋光
左旋光(1)或±π的整數倍:
左旋光
左旋光則,此為直線方程,一三象限的對角線。
左旋光(2)的奇數倍:
左旋光此為標準橢圓方程,主軸與坐標軸重合。
左旋光若,則電矢量E的矢端軌跡為圓偏振光。
左旋光若,則
左旋光
左旋光為左旋光。
旋光儀
偏振光通過某些晶體或某些物質的溶液以後,偏振光的振動面將旋轉一定的角度,這種現象稱為旋光現象。具有旋光性質的物質有石英、糖溶液、酒石酸溶液等。
測定旋光性物質的旋光度的儀器。通過對樣品旋光度的測量,可以分析確定物質的濃度、含量及純度等。廣泛套用於製藥、藥檢、製糖、食品、香料、味素以及化工、石油等工業生產,科研、教學部門,用於化驗分析或過程質量控制。
測出的旋光率,正負表示左旋還是右旋(正為右旋,負為左旋)。
