平面波簡介
平面波,是指電磁波的電場與磁場都可以在一平面分析。分析平面波是一種將3維波簡化為2維波的分析方法,此種方法可以表征電磁波的特性,但實際中並不存在平面波,只是在一些遠場問題分析時可以將3維電磁波等效於2維平面波分析。
波傳播的空間稱為波場。在波場中,代表波傳播方向的射線,稱為波射線,也簡稱為波線。最簡單的情況就是波的振動如正弦函式一樣,波場中同一時刻振動相位相同的點的軌跡,稱為波面。某一時刻波源最初的振動狀態傳到的波面叫做波前或波陣面,即最前方的波面。因此,任意時刻只有一個波前,而波面可有任意多個。波面為平面的即為平面波。
電磁波等從一點向各方面發散出去形成球面,如果這種波從無限遠處傳來,所形成的球面就可以看作是一個平面,所以叫做平面波,在光波中光線和波面垂直,所以平面波的光線可以看作是平行的。
傳播特點
平面電磁波在導電媒質中傳播時的特點有:①仍然是平面波,而且E垂直於H;②E和H的幅度隨傳輸距離的延伸而按指數規律衰減;③波阻抗為複數:
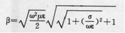
導電媒質中平面波傳播特性且隨信號的頻率而變化;④在空間同一點上,E與H在時間上不同相;⑤相速度vp為vp=ω/β:式中β為相移係數:
導電媒質中平面波傳播特性所以vp也是頻率的函式。對具有一個頻帶的信號來說,由於各個頻率分量具有不同的相速,故而不能同時到達終端,這種現象叫作出現了色散。
低損耗電介質中的傳播特性由於σ<<ωε,所以
導電媒質中平面波傳播特性這就是說,損耗極小的媒質,可以看成是無損耗媒質。
良導體中的傳播特性由於σ>>ωε,所以有
導電媒質中平面波傳播特性可見導體的σ值和電磁波的頻率越高,電磁波衰減得越快。磁場的相位滯後於電場45°。
良導體中電磁波的相速度vp為:
導電媒質中平面波傳播特性它與成正比,而與成反比。
