簡介
因為在實際工作中,除了計算阻抗外,還常常需要計算導納,特別是微波電路中的並聯元件,計算導納比計算阻抗更為方便,這些計算同樣可以採取圖解法,即採用“導納圓圖”。
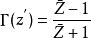
由電壓反射係數與阻抗的關係
導納圓圖電流反射係數與導納的關係
導納圓圖可以看出兩公式在形式上是完全相同的,所以導納圓圖與阻抗圓圖在圖形坐標的數值、符號和曲線形狀上是完全相同的,可以把阻抗圓圖當作導納圓圖來使用,但是圖上各點所代表的物理意義作不同的解釋。
使用原則
同一張圓圖,即可當作阻抗圓圖來用,也可以當作導納圓圖來用,但在進行每一次操作時,若作為阻抗圓圖用則不能作為導納圓圖。
構圖方法
可按照阻抗圓圖構成方法得到,詳見阻抗圓圖。在此介紹一種旋轉構圖方法。
圖1旋轉構圖法如圖1所示,阻抗圓圖上P與P’點關於原點對稱,根據四分之一波長阻抗變換特性可知,這兩點阻抗互為倒數,即P’的阻抗為P點的導納。因此可將阻抗圓圖旋轉180°就可以得到導納圓圖。

