簡介
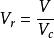
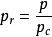
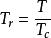
自然界中的各種物質都存在臨界狀態,此時其液態的比體積與氣態比體積相同。臨界狀態的狀態參數稱臨界參數,如臨界壓力、臨界比體積、臨界溫度,分別用p、v、T表示。假如用壓力、比體積和溫度與臨界壓力、臨界比體積、臨界溫度的比值來衡量工質的壓力、比體積、溫度,並令
對比參數
對比參數
對比參數式中p、v、T分別稱為對比壓力、對比比體積、對比溫度。這些量稱對比參數,它們都是無量綱量,它表明物質所處的狀態離開其本身臨界狀態遠近的程度。如果兩種或幾種物質的狀態具有相同的對比參數,表明它們離開其各自的臨界狀態的程度相同,則稱這些物質處於對應狀態。在臨界狀態,任何物質的對比參數都相同,且都等於1。
對比參數的性質
(1)對比參數都是無量綱量,它表明物質所處的狀態離開其本身臨界狀態遠近的程度。如果兩種或幾種物質的狀態具有相同的對比參數,表明它們離開其各自的臨界狀態的程度相同,則稱這些物質處於對應狀態。
(2)在臨界狀態,任何物質的對比參數都相同,且都等於1。
(3)用對比參數表示的狀態方程式稱為對比態方程。它的特點是式中不包含反映個別物質特性的常數,它的一般式可寫成:
對比參數具體的對比狀態方程,具有不同的形式。對於能滿足同一對比狀態方程式的同類物質,如果它們的對比參數p、v、T中有兩個相同,則第三個對比參數就一定相同,物質也就處於對應狀態中。以上的結論稱為對應態定律。服從對應態定律,並能滿足同一對比狀態方程的一類物質稱為熱力學上相似的物質。
(4)套用對應態定律可以對實際氣體熱力性質進行近似計算。
臨界狀態
定義
臨界狀態是指純物質的氣、液兩相平衡共存的極限熱力狀態。物質的氣態和液態平衡共存時的一個邊緣狀態。在此狀態時,飽和液體與飽和蒸氣的熱力狀態參數相同,氣液之間的分界面消失,因而沒有表面張力,氣化潛熱為零。處於臨界狀態的溫度、壓力和比容,分別稱為臨界溫度、臨界壓力和臨界比容。可用臨界點表示。
性質
1)任何純物質都有其唯一確定的臨界狀態
2)在大於臨界壓力條件下,等壓加熱過程不存在汽化段,液體由未飽和態直接變化為過熱態
3)在大於臨界溫度條件下,無論壓力多高都不可能使氣體液化
4)在臨界狀態下,可能存在超流動特性
5)在臨界狀態附近,水及水蒸汽有大比定壓熱容特性
