對易關係
對易的算法引入對易子:
對易的算法
對易的算法
對易的算法若 ,則 和 對易;
對易的算法
對易的算法
對易的算法若 ,則 和 不對易;
對易的算法對易式滿足下列恆等式:(設 表示算符)
對易的算法
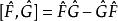
對易的算法雙線性:
對易的算法
對易的算法
對易的算法
對易的算法雅可比恆等式:
對易的算法算符的對易關係舉例
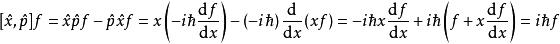
關於對易關係,一個很常見的例子就是量子力學中,坐標算符與動量算符的對易關係(考慮一維情形):
對易的算法
對易的算法
對易的算法其中坐標算符即左乘,動量算符則為
對易的算法證明:引入測試函式,將對易子作用於該函式得到
對易的算法
對易的算法
對易的算法可見這個對易子作用於該函式就相當於該函式左乘,這時我們就說坐標算符與動量算符的對易關係為,記作
對易的算法
對易的算法通過上述例子可知,對易的算法即引入一個測試函式(比如,一般對測試函式的要求是連續可導),然後將對易子作用於測試函式展開進行算符運算,算符運算的次序從左到右,最後得到的結果中必定可以用原函式表示,再把這個測試函式從兩端消去(即將算符抽象出來,並不等價於簡單的除法),得到的就是算符的對易關係。

