定義
對數求導法
對數求導法
對數求導法
對數求導法
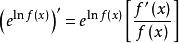
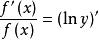
對數求導法對求導的函式 其兩邊先取對數 ,再同求導 ,就得到求導結果 。
這種求導方法就稱為 取 對數求導法 。簡稱 對數求導法。
原理
對數求導法的原理就是
對數求導法(1)換底,即 ;
對數求導法(2)複合函式求導法則,即 。
適用性
對數求導法函式 是乘積形式、商的形式、根式、冪的形式、指數形式或冪指函式形式的情況,求導時比較適用對數求導法,這是因為:取對數可將乘法運算或除法運算降格為加法或減法運算,取對數的運算可將根式、冪函式、指數函式及冪指函式運算降格成為乘除運算。
求導舉例
對數求導法
對數求導法(1)設 ,求 。
對數求導法
對數求導法
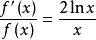
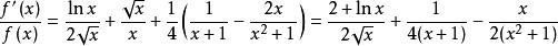
對數求導法解 取對數得,求導得,所以。
對數求導法
對數求導法(2)設,求。
對數求導法解取對數得,
對數求導法求導得,
對數求導法所以。
對數求導法
對數求導法
對數求導法
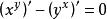
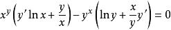
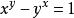
對數求導法(3)設函式由方程所確定,且已知,求。
對數求導法
對數求導法
對數求導法
對數求導法解方程兩邊對求導,得,,,求得
對數求導法
對數求導法
對數求導法將代入得。
對數求導法注 這裡由於整體上是個減法,所以先取對數沒有用。如果寫為,那是錯的,對數沒有這樣的運算性質。
套用舉例
對數求導法
對數求導法
對數求導法
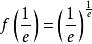
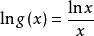
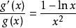
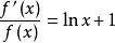
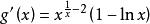
對數求導法求函式在區間上的最小值,函式在區間上的最大值 。
對數求導法
對數求導法
對數求導法解和在區間上連續且可導,
對數求導法
對數求導法
對數求導法(1)取對數得,求導得,所以,
| x | (0,1/e) | 1/e | (1/e,+∞) |
| f '(x) | 負 | 0 | 正 |
| f(x) | 單調減少 | 最小值 | 單調增加 |
對數求導法
對數求導法
對數求導法函式在區間上的最小值為
對數求導法
對數求導法
對數求導法(2)取對數得,求導得,所以,
| x | (0,e) | e | (e,+∞) |
| g'(x) | 正 | 0 | 負 |
| g(x) | 單調增加 | 最大值 | 單調減少 |
對數求導法
對數求導法
對數求導法函式在區間上的最大值為。

