簡介
對數周期天線
對數周期天線
對數周期天線
對數周期天線
對數周期天線
對數周期天線它是根據以下闡述的理論構建而成的:當天線按照某一特定的比例因子 變換後,仍為其原來的結構。這樣,出現在頻率 f和 的天線性能,將在 f和 f的頻率範圍內重複出現,依次類推,天線的電性能將在很寬的頻率範圍內作周期性的變化。因此若能做到在f~ f頻帶內天線性能指標變化較小,那么就有可能達到非頻變天線的要求。同時對數周期天線又是一種線極化天線,電場的極化方向平行於振子的方向。因而使得對數周期天線具有寬頻帶特性和線極化特性,所以套用其作為電暈放電信號探測系統是天線部分的最優選擇。
圖1對數周期天線結構
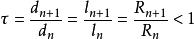
如圖2所示,對數周期天線是由N 個平行排列的對稱振子按照結構周期率構成的,有如下關係式
對數周期天線
對數周期天線
對數周期天線
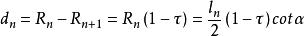
對數周期天線式中: , , 分別是兩相鄰振子的間距、虛頂點至最長振子之間的距離、天線的幾何頂點到第n個振子的垂直距離;振子的序號為n。
對數周期天線對數周期偶極子天線的整體結構要決定於周期率和結構張角2α。當周期率和2α確定後,對數周期天線的幾何結構也就確定了。由於R= R以及R=(l/2)cotα。
所以
對數周期天線
圖2對數周期天線結構示意圖
對數周期天線因此,在確定天線的設計參數時。只要知道了, ,2α 和σ任意兩個,天線的幾何結構和電特性也就確定了。天線長度L=(l/2)cotα,因此張角α增大天線長度大大減小。
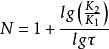
為了保證天線在兩端頻率能滿足要求,通常採用頻帶的高端和低端截止常數來設計高、低端偶極子的長度,並由此確定所需的偶極子數。最長的偶極子長度為L=Kλ。λ是最長的工作波長,K是低端截止常數,K是高端的截止常數,兩參量由經驗公式可分別得出為
對數周期天線K=1.01-0.519
對數周期天線對數周期天線的最短的偶極子長度是L=Kλ,此式中λ是最短工作的波長。用兩個截止常數及頻帶的最高和最低頻率可求得天線上偶極子數目。
工作原理
對數周期天線具有極寬的工作頻寬,可達到10∶1或更寬。其工作原理從概念上理解較為容易:天線的方向特性、阻抗特性等均為電尺寸的函式。對數周期天線各振子尺寸滿足 ln+1/ln=τ,即要求這些頻率滿足λn+1/λn=τ或fn+1/fn=1/τ。若τ接近於1,則滿足以上要求的天線工作頻率就趨近連續變化。若天線的幾何結構為無限大且無限精細,那么該天線的工作頻帶就可以達到趨近無窮。
對數周期天線輻射線極化電磁波,其極化方向與振子方向平行。對數周期天線的輻射區主要為一個振子,此區域的振子長度約為λ/2,具有較強的激勵,起主要輻射作用。當工作頻率變化時,輻射區域會在天線上前後移動(例如頻率增加時向短振子一端移動),保持其電性能不變。
根據對數周期天線各部分對稱振子的工作情況,可以把整個天線分成三個工作區:除輻射區外,從電源到輻射區之間的部分稱為傳輸區;輻射區後的部分稱為非激勵區。下面簡要介紹三個工作區的情況:(a)在傳輸區,各對稱振子的電長度很短,振子的輸入阻抗(容抗)大,因而激勵電流很小,所以振子的輻射很弱,主要起傳輸線作用。(b)在非激勵區,由於輻射區的對稱振子處於諧振狀態,振子的激勵電流大,已將傳輸線傳送的大部分能量輻射出去,所以該區對稱振子的激勵電流變得很小,該現象即前面提到的電流截斷現象。(c)在輻射區,通常把它定義為激勵電流值等於最大激勵電流 1/3 的兩振子之間的區域。該區域的振子數 N原則上由幾何參數τ和σ決定,可由經驗公式近似確定:
對數周期天線其中 K和 K表示為工作頻帶高端和低端的截斷常數,由下列經驗公式確定
對數周期天線K=1.01-0.519
對數周期天線輻射區的振子數一般不少於三個。輻射區內的振子數越多,天線的方向性就越強,增益也會越高。為了簡明地分析輻射區的工作原理,這裡只取三個振子作為代表,如圖3所示。從矢量的合成上可以看出 a,c 振子對 b 振子輻射場具有增強作用。
圖3對數周期天線的工作原理圖 (a)輻射區結構圖
圖3對數周期天線的工作原理圖(b)輻射區矢量圖電特性
對數周期天線的電特性主要包括輸入阻抗、方向圖與方向係數、極化和頻寬等,下面將從這幾方面分別進行闡述。
1、輸入阻抗
對數周期天線的輸入阻抗是指它在饋電點(集合線始端)所呈現的阻抗。當高頻能量從天線饋電點輸入後,電磁能量將沿集合線向前傳輸,傳輸區振子的電長度很小,輸入端呈現較大的容抗,因而其輸入端的電流很小。傳輸區振子相當於在集合線對應點並聯一附加電容,改變了集合線的分布參數,使集合線的特性阻抗降低(傳輸線的特性阻抗與分布電容的平方根成反比)。
輻射區為集合線的主要負載,由集合線傳送的高頻能量幾乎被輻射區的振子全部吸收,並向空間輻射。輻射區後的非諧振區振子比諧振長度大得多,由於其得到的高頻能量很小,所以從集合線終端反射的能量也就非常小。若集合線終端接適當的短路支節長度,集合線上的反射波成分就可降到最低程度,此時,可近似認為集合線上載行波。因而對數周期天線的輸入阻抗近似地等於考慮到傳輸區振子影響後的集合線特性阻抗,基本上是電阻性的,電抗成分不大。
2、方向圖與方向係數
對數周期天線為端射式天線,最大輻射方向為沿著集合線從最長振子指向最短振子的方向。當工作頻率變化時,天線的輻射區在天線上前後移動而保持相似特性,故其方向圖隨頻率的變化較小。除了對數周期天線的方向圖外,它的半功率角與幾何參數τ以及σ也有一定的關係,τ越大,輻射區的振子數越多,天線的方向性越強,方向圖的半功率角就越小。
在任何一個工作頻率上,只有輻射區的部分振子對輻射起主要作用,而並非所有振子均對輻射有重要貢獻,所以它的方向性不強。方向圖的波束寬度一般為幾十度,方向性係數或天線增益也一般10dBi左右,屬於中等增益天線範疇。
3、極化
和引向天線類似,對數周期天線為線極化天線。當對數周期天線的振子面水平放置時,輻射或接收水平極化波;當它的振子面垂直放置時,則輻射或接收垂直極化波。
4、頻寬
對數周期天線的輻射區對振子長度有一定要求,所以它的工作頻寬將基本上由最長及最短振子尺寸限制。

