定義
函式概念的核心是變數y與變數x之間的對應法則。表示這種對應法則的方法是多種多樣的,通常有公式法、圖象法及列表法。但為了對函式進行一般性的研究,我們用記號 y=f(x)表示變數y是變數x的函式,其中字母“f”就抽象地表示變數y與變數x的對應法則。
簡單地說,自變數x可通過方法f(所謂對應法則)“變成”了因變數y。
因此,“f”是使“對應”得以實現的方法和途徑,是聯繫x與y的紐帶,從而也就是函式的核心。
可以用一句話、一張圖表、也可以是一個解析式表示。
特別地,f(a)表示自變數x=a時所得的函式值,是一個常量;而f(x)稱為變數x的函式,在通常情況下,它是一個變數。
舉例說明
例如,在函式式
對應法則中對應法則f這時相當於運算程式
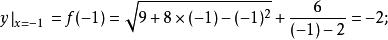
對應法則按照這樣的運算程式,對指定的定義域[-1,2)∪(2,9]中的x值,可計算出對應的y值。比如,取x=-1,對應的y值為
對應法則又比如,取x=8,對應的y值為
對應法則當x=2時,y沒有對應值,或說函式y=f(x)在點x=2處沒有定義。可以知道f(x)在點x=-2處也沒有定義,但應注意兩者有明顯的區別,主要是:存在一個以x=2為中心的去心領域,比如0<|x-2|<2,在該領域內f(x)有定義;而存在一個以x=-2為中心的領域,比如|x+2|<1,在該領域內f(x)卻處處無定義。
對應法則一般地,設函式y=f(x)的定義域為D,則對於任一數x∈D,所對應的y值記為或f(x),並稱之為函式y=f(x)在點x處的函式值。有時,也用f(x)本身來表示D中任一點x處的函式值。
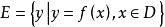
定義域D中的一切x值所對應的全體函式值的集合E叫做函式的值域。即稱數集
對應法則為函式y=f(x)(x∈D)的值域。
套用
在確定兩個函式是否為同一函式時,定義域和值域都相同不一定就是同一函式,對應法則f為關鍵要素。
可以運用化學的知識理解y相當於生成物,f相當於反應條件或者是催化劑把反應物x變為y。
由函式奇偶性的定義我們知道,判斷函式的奇偶性,首先,應看其定義域是否關於原點對稱,其次,需判斷f(x)與f(-x)的關係,而f(x)與f(-x)的關係離不開對應法則的套用。奇偶性的判別方法,可歸納為3種:①利用奇偶性的定義;②用和差判別法,即考察f(-x)±f(x)與0的關係;③用求商判別法,即考察f(-x)/f(x)與±1的關係。

