定義
在勘探地震學中,同一入射點處入射角θ的正弦值與速度值之比為一常數,這個常數就成為射線參數。這條射線就對應一個射線參數。原理
我們這裡是針對二維介質問題,只考慮水平和垂直方向,y方向不考慮。地震波的位移矢量為 r=xi+zk (粗斜體表示向量,下同)
可以得到速度矢量:

.
.
.
我們將θ定義為r與垂直方向的夾角(即入射角,注意是與垂直方向而不是水平方向)
然後定義s為慢度:

.
.
.
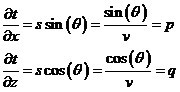
可以得到水平慢度和垂直慢度的表達式為:

.
.
.
.
其中上式p稱為水平慢度,下式q為垂直慢度,另外,p又稱為射線參數
