概念
當從圓形噴管流出的燃料氣的流量逐漸增大時,可以觀測到火焰形狀的變化。當燃料氣以低於臨界值的速度從噴管流向靜止的空氣環境中時,氣體的流動層流的,燃料氣與空氣的混合以分子擴散方式在薄火烙面內發生,而火焰面在空間上是固定不動的。當噴管內燃料氣速度增加時,擴散火焰長度增加,直到達到一臨界速度時,焰頂端變得不穩定,並開始顫動.隨著速度的進一增加,這種不穩定現象發展為帶有噪聲的湍流刷狀火焰,它從火焰上某一確定點處開始,正是在該點處發生層流破裂並發展為灌流射流。從噴管到湍流刷焰開始點之間的距離,叫破裂點長度。
當噴管氣流速度從零增大時,起初火焰長度幾乎按比例增加,同時,在該區域內的任何速度下,火焰均輪廓顯明、形狀恆定.當達到足夠高的速度時,火焰頂端特徵變化,形成稍帶毛刷狀。隨著速度的進一步增加,火焰“破裂”點向噴管方向移動,而對某些燃料,火焰長度稍有減小。當破裂點已經移到十分靠近噴管時,即達到充分發展的湍流火焰的條件。速度的進一步增加,對火焰長度實際上沒有影響,但火焰噪聲卻繼續加大,而火焰亮度則繼續減弱。最後在某一速度下(這個速度依賴於燃料氣的種類和噴管尺寸),火焰吹離噴管。
射流火焰中的濃度分布
霍特爾和霍索恩對氫火焰所作濃度測量結果是個很籽的實際例子,說明火焰中的混合不能簡單地用火焰與環境之間密度差來解釋。他們發現,儘管由於氫的分子量較小,同時火焰中溫度也較高,因而密度較低,但火焰中的衰減常數卻比等溫射流時高得多。
許多在射流密度不同於環境介質、不帶燃燒情況下所作的引射研究表明,
射流火焰
射流火焰
射流火焰
射流火焰
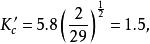
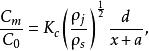
射流火焰式中, 和 是射流和環境流體初始密度,而 是對於等密度射流的衰減常數。如果我們取 值為5.8,則對於不帶燃燒的噴入空氣的氫射流,我們應得出
射流火焰也就是說,噴入空氣的氫射流的衰減率應該比等密度體系中的衰減率高得多。
這樣,氫火焰的衰減率要比噴入空氣的無燃燒的氫射流的衰減率小得多。這種情況可以部分地由擴散火焰中反應區位置來加以解釋。反應區在從噴管噴出的冷氣體核心的周圍形成包封面,因此火焰可看成是冷而密度高的射流引射熱而密度低的燃燒產物。結果導致引射量小,而衰減率低。這已為霍索恩所提供的證據所證明,他發現氫火焰中混合過程所要求的長度約為空氣射流情況下的八倍。
射流火焰
射流火焰
射流火焰
射流火焰
射流火焰
射流火焰
射流火焰霍索恩指明,用描繪 對 的關係的辦法,火焰中的濃度剖面可表示成與等密度射流時相同,此處是處的值。這種畫濃度剖面的方法,不可能揭示很多關於剖面差別方面的情況,因為所有的剖面都必須通過和這兩個點。
射流火焰
射流火焰
射流火焰
射流火焰
射流火焰
射流火焰
射流火焰
射流火焰
射流火焰
射流火焰考察射流和射流火焰各自的擴展速率對我們也有啟發。霍索恩對 到 的氫擴散火焰測得 。切給爾和謝文斯基對 的石油氣火焰測得 。如果把這些數值和等密度、不帶燃燒的體系中所作測量結果( 及 ,同時 )對比,又可以清楚地看到,湍流擴散火焰具有比等密度、無燃燒射流低得多的擴展速率,同時,由於燃燒的結果,等效原點從噴管出口上游 的地方移到 的地方。
由燃燒引起的變化可在離開燃燒器型火焰中觀測。在離開燃燒器型丙烷火焰中所作軸向濃度測量表明,混合過程的開始階段顯著地不同於附著在燃燒器型火焰所顯示的結果。在燃燒器和火焰之間,混合速率具有與等溫射流相聯繫的較高數值,而在著火以後,混合速率則變為與帶燃燒的射流相聯繫的較低數值。
克雷默已經發現,質量通量密度剖面和動量通量密度剖面,在混合區的橫截方向上保持為光滑剖面形狀。它們也在所有軸向位置處保持相似。而且,不管射流氣是否燃燒,這些剖面保持不變。克雷默的實驗結果可用如下方程式加以整理:
質量通量密度:
射流火焰動量通量密度:
射流火焰
射流火焰
射流火焰
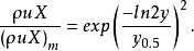
射流火焰式中是速度為軸線上同一處所得最大速度的一半地方的射流半徑,而是噴管氣體的質量濃度。
溫度剖面在軸線外、沿火焰面處具有最大值,由於燃燒產物從火焰不斷擴散開來而進行混合的結果,軸線上的溫度增加。這樣,軸線上溫度不斷升高,直到火焰面會聚於軸線後,軸線溫度達最大值。以後,由於與周圍空氣混合火焰變冷,軸線溫度下降。

