概念
宇稱算符一些在經典中沒有類似量的量子力學算符,其中之一是宇稱算符。宇稱算符 由它對任意函式f有如下的作用來定義:
宇稱算符宇稱算符把每個笛卡兒坐標換成其負值。例如,
宇稱算符
宇稱算符
宇稱算符如同對任何量子力學算符那樣,我們關心的是宇稱算符的本徵值和本徵函式:
宇稱算符
宇稱算符問題的關鍵是計算的平方:
宇稱算符
宇稱算符
宇稱算符
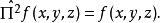
宇稱算符因為f是任意的。所以斷定是單位算符:
宇稱算符
宇稱算符
宇稱算符用作用於式,得到
宇稱算符
宇稱算符因為是線性的有
宇稱算符
宇稱算符
宇稱算符
宇稱算符由於是單位算符;式為
宇稱算符
宇稱算符函式不能為零(零不能作為波函式),所以
宇稱算符
宇稱算符的本徵值是+1和一1。
宇稱算符下面來考察本徵函式。本徵方程寫為
宇稱算符
宇稱算符若本徵值為+1,則
宇稱算符
宇稱算符是一偶函式。
若本徵值是-1,則
宇稱算符
宇稱算符是一奇函式。
宇稱算符與哈密頓算符的對易關係
宇稱算符
宇稱算符
宇稱算符
宇稱算符當宇稱算符與哈密頓算符可對易時,可選取這些算符的一個共同本徵函式集。當時,的本證函式(定態波函式)便可被選作的本證函式。
對單粒子體系,有
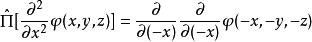
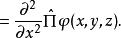
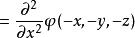
宇稱算符由於
宇稱算符
宇稱算符
宇稱算符
宇稱算符式中是任意函式,所以
宇稱算符
宇稱算符對y和z坐標的類似等式也成立,則式變為:
宇稱算符有
宇稱算符
宇稱算符若勢能函式是偶函式,亦即,若,則上式變為
宇稱算符
宇稱算符
宇稱算符所以。於是,當勢能函式是偶函式時,宇稱算符與哈密頓算符可對易:(V時偶函式)。
這個結果不難推廣到n粒子情況。對於一個n粒子體系,宇稱算符定義為
宇稱算符容易得出,當V是3n個坐標的偶函式時,即
宇稱算符
宇稱算符
宇稱算符成立時宇稱算符與哈密頓算符可對易。概括地說,當勢能V是偶函式時,宇稱算符與哈密頓算符可對易,所以可以這樣來選取波函式,使得每個不是偶函式就是奇函式。一個函式不是偶的就是奇的就說它有一定的宇稱。
