概述
換言之,就是通過解決求學者學什麼、怎么學、什麼時候學、在哪裡學等問題,以確保用最小的求學成本(時間、精力和資金)通過學習成長為滿足階段性職業目標要求的合格人才,從而最大限度地提高求學者的人生職業(事業)發展效率,並實現個人的可持續發展。
四大要素
學業規劃四大要素為:求學決策、 學業管理、規劃主體(求學者)、規劃客體(學業路線)
學業規劃是通過求(升)學決策與學業管理來實現和完成的。即規划過程,這是學業規劃中的核心要素。求(升)學決策與學業管理是學業規劃的具體化與日常化,求(升)學決策是指求學者(中學畢業生)在求(升)學時對下一階段學習專業、學校與方式的選擇,而學業管理則是通過學生對自己每天、每時每刻的學習計畫與安排,通過品德修養、智力開發、身體鍛鍊及其他方面素質的全面提高,以確保其完成學業後,成長為適應社會經濟(人才市場)需要的合格人才,進而順利實現自己的階段性職業或事業目標。
學業規劃中另外兩大要素是規劃主體與規劃客體,規劃主體是指求學者本身,即最終的選擇與決策權一定是求學者掌握。規劃客體是規劃內容,即通過怎樣的方式實現學業目標,即學業路線。
六何問題
正如學業規劃概念中提到的,學業規劃的過程,就是解決問題的過程,即求學者通過科學解決學什麼?怎么學?什麼時候學、在哪裡學、為什麼學、誰來學等問題,以確保讓求學者以最小的投入獲得適應人才市場需要的能力和素質的過程。這些問題可以歸結為“六何”問題。即何人、為何、何時、何地、如何、學何。
求學決策包括
中考志願決策
高中分科決策
高中選課決策
高考志願決策
中職學業規劃
大學學業規劃
終身學習學業規劃
學業管理包括
中國小學業管理
普通高中學業管理
中職學校學業管理
大學生學業管理
終身學習學業管理
理論體系
1、 完全人才市場理論:人才市場由人才開發市場、人才配置市場兩個部分組成。人才開發市場也稱為教育市場或者求學市場,人才開發市場中供應方為各級各類教育培訓機構,需求方為各類求學者,在人才配置市場,供應方為各級各類學成畢業的求職者,需求方為社會經濟中的各類機關及企事單位。(資料來源:《人才學導論—個人發展學》)
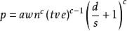
2、人才價值理論:如果把人才價值a1及個人投入b2都看成個人發展要素(時間、精力、資金等)投入的函式,則人才價值(a1)及個人發展效率(L2)可用下列公式表示:
(其中a 為某一常數,0≤C≤1)
學業規劃或者:
學業規劃個人的發展效率為:
學業規劃或者:
學業規劃j—人才價格(一般是指工資水平),p—個人發展效率,W—人才職位,
n—個人天賦(職業潛能),t—學習時間,v—投入精力,e—經濟投入,
c—學業與個人天賦的匹配度(或稱學業規劃與管理係數),
d—人才市場需求量,s—人才市場供應量 。(見《高中新課改選課指導》)
3、 學業路線的成本理論:不同的職業目標及學業路線對個人投入的要求是不同的。個人投入包括天賦、時間、精力、資金等個人發展要素。(見《高中新課改選課指導》)
4、 學業規劃的概念與要素:學業規劃由求學決策與學業管理組成
5、 學業規劃基本原則,學業規劃八大原則(見《高中新課改選課指導》)
6、 職業價值理論:職業是一種工具,是實現個人價值的平台。高職位的職業實現個人價值的效率高、影響大,低職位的職業實現個人價值的效率低,影響小。
7、 就業預測理論:職業的變動性與穩定性分析。(見《瞄準就業填志願》)
8、 專業的行業性理論:專業可分為行業性專業與泛行業性專業 (見《瞄準就業填志願》)
9、 專業、職業關係分析:一對一、一對多、多對一(具體見《大學專業分析》)
10、學校的就業競爭理論:畢業學校對學生就業的影響分析(見《瞄準就業填志願》)
11、升學志願填報規則的分析與設計(見《瞄準就業填志願》)
12、升學志願決策的策略問題
13、學業管理
14、學業規劃與就業競爭
15、學業規劃的社會經濟環境
16、學業規劃教育
17、學業規劃事業與產業化
區別
與職業規劃的區別
學業規劃與職業規劃同屬於個人發展規劃。個人發展規劃從其發展階段來分,可以分為兩類,一類是國中畢業後的學生以最有效率的方式獲得實現自身人才價值的職業或事業平台的個人發展規劃,這被稱為學業規劃。主要是指規劃主體為了高效地獲得職業或事業平台而對學業(主要是國中後學業)所進行的籌劃和安排。它的目的就是迅速有效率地獲得適合於自身發展的職業或事業平台,所以更強調所學與所長、所愛的統一,以最大限度地提高自身的職業競爭能力,為順利就業奠定基礎。它所規劃的人生髮展階段主要為國中畢業後至進入社會找到職業或事業的平台時期。另一類則是在獲得職業或事業平台的基礎上,以最有效率的方式實現自身人才價值最大化的個人發展規劃。也就是對自己職業或事業發展路線的籌劃與安排。這就是職業規劃。它所規劃的人生髮展階段為找到適合於自身發展的職業或事業平台到退休為止;學業規劃目的是在實現人才性價比最大化的前提下完成就業,而職業規劃的目的則是為了最大限度地實現自身的人才價值。顯然,在這兩類不同的個人發展規劃中,學業規劃是職業規劃的基礎,職業規劃是學業規劃的升華。如果從個人經營的角度出發,則學業規劃為個人的人才經營戰略規劃,而職業規劃則只是銷售策略。因此學業規劃對人生的發展更具有全局性和長遠性的戰略意義,而職業規劃則只能算作戰術性策略。
與傳統規劃理論的區別
(1)目標不同,傳統的生涯規劃理論,以人職匹配為最終目標。而學業規劃理論以提高個人的職(事)業發展效率,實現可持續發展為最終目標。也就是不僅要看人職匹配,還要看匹配的效率,要以最小的代價實現人職匹配,同時還要考慮人生的可持續發展,通過不斷地學業規劃與管理以實現職業(事業)的發展。體現了理論上的徹底性。
(2)理論來源不同,傳統的生涯規劃理論來源於社會學、教育學及西方的人職匹配理論。學業規劃理論的來源除了上面的幾點而外,更側重於吸收了馬克思主義哲學、古典經濟學等方面的理論和思想。
(3)實踐的效果不同,實施傳統的生涯理論解決了個人畢業後的成功就業的問題,而實施學業規劃理論則可以最大限度的提高個人的發展效率,從而在根本上提高社會的勞動生產率,促進社會經濟的全面發展。
創立者
學業規劃理論由我國學業規劃與升學決策研究專家張恆亮先生創立,它繼承和發展了從上世紀發端於美國的職業指導與生涯教育理論,不僅能夠實現人職匹配,更在於幫助人們提高個人發展的效率。即以最小的代價實現人職匹配並促進個人的可持續發展。
學業規劃理論的創立者張恆亮先生,是我國學業規劃事業的創始人,學業規劃與升學志願決策研究專家,也是高考實時動態志願填報模式的提出及倡導者(現已在我國內蒙古地區實行),《中國教育報》生涯規劃專欄作家,教育部中國人生科學學會生涯規劃研究專家,教育部高考官方網站(陽光高考網)升學指導專家。張恆亮現為成都明略學業規劃研究院首席專家,人民網、新浪網高考頻道升學志願諮詢專家,並應邀在新浪網開設個人部落格,點擊率極高。2003年,由於對大學生就業難的關注,張恆亮開始從事中學生學業規劃的課題研究,2004年,出版專著《籌劃未來—學業規劃》,另有研究成果《人才學導論---個人發展學》、《大學生學業規劃與管理》、《瞄準就業填志願》、《中國大學專業詳解》、《大學專業分析》、《高中新課改選課指導》等。
學業規劃勸學歌
學業規劃勸學歌
打竹板,響連天,聽我給咱說快板。今天不把別的談,學業規劃來宣傳。
小學生、中學生,天天學習不輕鬆。起得早,睡得晚,夜夜都把作業趕。
分是命、考是寶,大考小考離不了。如有一天考砸了,家長抱怨老師惱。
書山題海每日游,學習機器要加油,青春年華苦度過,眼睛近視身體弱。
若要問這為什麼?都是為了考大學。名牌大學前程好,大家都擠獨木橋!
其實大家都錯了!成才道路萬千條!或經商,或從政,做學問,或打工,
蛟龍遨遊在大海,雄鷹搏擊在長空,因材就學謀發展,條條道路可成功。
過去畢業包分配, 現在就業靠自己,過去上學少花錢, 現在上學要繳費。
教育實在是投資,與時俱進正當時。買電腦、買手機,我們從東走到西,
看了這家看那家,看誰物美又便宜。但到高考填志願,大學專業看花眼,
一心只想選名牌,不顧就業易與難。等到跨進大學門,發現專業很煩悶,
一頭扎進網遊里,虛擬世界度光陰。大學不是保險箱!金榜題名很風光,
渾渾噩噩四年過,畢業失業太心傷。巨額投入付流水,黃金光陰喚不回!
為解人生路上難,學業規劃作奉獻!告知學業須規劃,早做打算早籌劃!
瞄準就業填志願,瞄準就業讀大學,選對專業選對校,學習起來興致高,
學有所成用所學,優質就業掙錢多,經濟自由身自由,夢想成真無憂愁!
活到老,學到老,學業規劃不能少,小投入、大回報,人生境界步步高!
一日之計在於晨,一生之計在於勤,勤於規劃勤學習,美好生活永不離,
我勸學弟與學妹,學業規劃莫遲疑,莫遲疑!

