簡介
奧斯特羅格拉茨基方法簡稱奧氏方法。一種直接求出有理函式積分的有理部分的方法。
有理函式的積分是有理函式、對數函式與反正切函式的有限組合,奧斯特羅格拉茨基方法是不經積分,直接求出其中的有理函式部分的一種方法。
內容
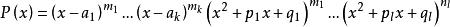
奧斯特羅格拉茨基方法設 為有理真分式,則由下列奧氏公式
奧斯特羅格拉茨基方法
奧斯特羅格拉茨基方法
奧斯特羅格拉茨基方法
奧斯特羅格拉茨基方法式中 與均為有理真分式,。
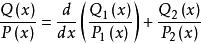
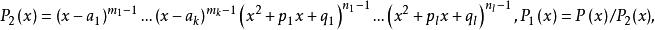
奧斯特羅格拉茨基方法
奧斯特羅格拉茨基方法
奧斯特羅格拉茨基方法當已知時,有而的係數可用待定係數法從
奧斯特羅格拉茨基方法求出。
即使不知道 P(x) 的分解式,也可從 P(x) 是 P(x) 與它的導數 P'(x) 的最大公因式求得P(x),再從P(x)=P(x)/P(x) 求得P(x). 寫出公式 (1) 後,再通過通常的有理函式積分法求
奧斯特羅格拉茨基方法
奧斯特羅格拉茨基方法它是對數函式與反正切函式的有限組合,因此正是
奧斯特羅格拉茨基方法的有理函式部分。這種方法是奧斯特羅格拉茨基 (Ocтpoгpaлcкий,M.B.)於 1845 年發表的。
