基本介紹
若二次曲線是由兩條直線構成的,則稱為奇異的或退化的二次曲線,否則稱為非奇異的或非退化的二次曲線。如果曲線方程為:
奇異二次曲線那么它是奇異二次曲線的充分必要條件是
奇異二次曲線二次曲線有奇點的充分必要條件為它是奇異的 。
相關介紹
二次曲線與無窮遠直線的相關位置
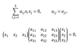
奇異二次曲線在仿射平面上,齊次仿射坐標滿足三元二次方程
奇異二次曲線的點的集合叫做仿射平面上的 二次曲線。在方程(1)中,係數a為實數且至少有一個不為零,方程(1)叫做仿射平面上的二次曲線的方程 。
方程(1)可簡寫成
奇異二次曲線方程(1)也可以用矩陣表示為
奇異二次曲線
奇異二次曲線
奇異二次曲線
奇異二次曲線
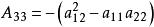
奇異二次曲線其中矩陣叫做二次曲線(1)的係數矩陣,或表示係數行列式,且。
奇異二次曲線
奇異二次曲線當時,則此二次曲線叫做 非退化的二次曲線;當時,此二次曲線叫做 退化的二次曲線。
奇異二次曲線
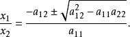
奇異二次曲線現在求無窮遠直線與二次曲線的交點,把代入方程(1),得
奇異二次曲線從而解得
奇異二次曲線
奇異二次曲線因此,當時,方程(2)有兩個不相等的實根;
奇異二次曲線當時,方程(2)有兩個相等的實根;
奇異二次曲線當時,方程(2)有兩個共軛的虛根。
奇異二次曲線根據二次曲線與無窮遠直線相交的情況,即根據的符號,我們把式(1)所表示的二次曲線進行分類 。
奇異二次曲線定義 當A>0時,方程(1)所表示的曲線叫做 橢圓型二次曲線;當A=0時,方程(1)所表示的曲線叫做 拋物型二次曲線;當A<0時,方程(1)所表示的曲線叫做 雙曲型二次曲線。而且,當時,上述三種類型的二次曲線分別叫做橢圓、拋物線、雙曲線。
由定義,顯然雙曲線與無窮遠直線有兩個實交點(即相割),拋物線與無窮遠直線只有一個實交點(即相切),橢圓與無窮遠直線有兩個共軛虛交點(即通常意義下的相離),我們把二次曲線與無窮遠直線的交點叫做二次曲線上的無窮遠點。3種二次曲線與無窮遠直線的位置關係如圖1所示。
圖1由定義顯然可知,一條非退化二次曲線為拋物線的充要條件是它與無窮遠直線相切 。
二次曲線的射影分類
射影平面上二次曲線與下列五種曲線之一射影等價:
奇異二次曲線(1)(無圖形)
奇異二次曲線(2)(橢圓、雙曲線、拋物線)
奇異二次曲線(3) (一點)
奇異二次曲線(4) (一對相交直線)
奇異二次曲線(5) (一對重合直線)
其中前兩類是非退化的二次曲線,後三類是退化的二次曲線。

