概述
基本假定
1)地基和基礎之間的摩擦力很大(地基底面完全粗糙),當地基破壞時,基礎底面下的地基土楔體aba′(如圖8-7所示)處於彈性平衡狀態,稱彈性核。邊界面ab或a′b與基礎底面的夾角等於地基土的內摩擦角φ。
2)地基破壞時沿bcd曲線滑動。其中bc是對數螺線,在b點與豎直線相切;cd是直線,與水平面的夾角等於45°-φ/2 ,即acd區為被動應力狀態區。
3)基礎底面以上地基土以均布荷載q=γD代替,即不考慮其強度。
理論簡介
實際上基礎底面並不完全光滑,與地基土表面間存在著相當大的摩擦力。1943年太沙基(Terzaghi)推導出更切合實際的地基極限承載力公式。推導過程中做如下假設
(1)受鉛直均布荷載作用的條形基礎,基底粗糙,不光滑;
(2)條形基礎淺埋;
(3)地基土均勻、有重量,並考慮地基土自重對極限承載力的影響;
(4)當荷載達到極限值時,地基發生整體剪下破壞。
太沙基承載力理論
太沙基承載力理論
太沙基承載力理論
太沙基承載力理論如圖8.7所示,基礎底面不光滑,那么地基土和基礎之間就具有相當大的摩擦力,沿著AB面不發生剪下位移,那么ABC區(Ⅰ區)就不是朗肯的主動狀態區,而是處於彈性狀態,因此三角形土楔隨著基礎底面一起移動,稱為彈性壓密核。AC.BC滑線與水平面成 角。Ⅱ區是Ⅰ區向兩側推擠的過渡區,CE.CD是對數螺線,即 。,對數螺線在C點的切線是豎直的,在C點的兩滑線的交角為 直角+ 。Ⅲ區BEG和ADF的土體受到擠壓的作用達到被動狀態,成為朗肯的被動狀態區。角BGE等於45°一/2.BEG和ADF為等腰三角形。
太沙基公式
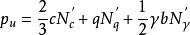
大沙基假定基礎底面是粗糙的,基底與土之間的摩阻力阻止了基底處剪下位移的發生,因此直接在基底以下的土不發生破壞而處於彈性平衡狀態,根據Ⅰ區土楔體的靜力平衡條件可導得大沙基極限承載力計算公式為:
太沙基承載力理論
太沙基承載力理論式中:q為基底水平面以上基礎兩側的超載,kPa, ;b,d為基底的寬度和埋置深度,m;Nc,Nq,Nγ為無量綱承載力因數,僅與土的內摩察角有關,由圖6-33中實線查得,Nq及Nc值也可計算求得。
太沙基承載力理論
太沙基承載力理論
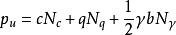
太沙基承載力理論上式適用於條形荷載下的整體剪下破壞(堅硬黏土和密實砂土)情況。對於局部剪下破壞(軟黏土和松砂),太沙基建議採用經驗方法調整抗剪強度指標c和 ,所以c`=2c/3, 代替上式中的c和 。所以上式可變為:
太沙基承載力理論
太沙基承載力理論
太沙基承載力理論式中:三個N為相應於局部剪下破壞的承載力因數,可由查圖6-33中的虛線或由`查圖中實線而得;其餘符號同前。
太沙基承載力理論
