簡介
斯肯普頓極限承載力公式
斯肯普頓極限承載力公式
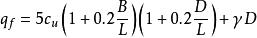
斯肯普頓極限承載力公式斯肯普頓極限承載力公式是由斯肯普頓提出的,對於不排水條件下的飽和粘性土,內摩擦角 ,根據理論推導,條形荷載下的地基極限承載力 ,式中 為地基土的不排水抗剪強度,考慮到基礎形狀和基礎埋深的影響,對於基礎埋深小於和等於2.5倍基礎寬度的淺基礎,建議按下式估算地基極限承載力
斯肯普頓極限承載力公式式中L、B分別為基礎的長邊和短邊;D為基礎的埋置深度;γ為土的重度。
地基極限承載力
地基極限承載力是指地基剪下破壞即將失穩時所能承受的荷載,它相當於地基上中應力狀態從剪下階段過渡到隆起階段時界限荷載。隨著荷載的增大,地基變形逐漸増大,初始階段地基土中應力處在彈性平衡狀態,具有安全承載能力。當荷載增大到地基中開始出現某點或小區域內各點在其某一方向平面上的剪應力達到土的抗剪強度時,該點或小區域內各點就發生剪下破壞而處在極限平衡狀態,土中應力將發生重分布。這種小範圍的剪下破壞區,稱為塑性區。地基小範圍的極限平衡狀態大都可以恢復到彈性平衡狀態,地基尚能趨於穩定,仍具有安全的承載能力。但此時地基變形稍大,必須驗算變形的計算值不允許起過允許值。當荷載繼續增大,地基出現較大範圍的塑性區時,將顯示地基承載力不足而失去穩定,此時地基達到極限承載力。隨著對地基土破壞模式的認識的不斷加深,地基極限承載力的理論公式也在不斷完善,但大都是根據整體剪下破壞模式推導得出。極限承載力的求解方法有兩種:一種是按照極限平衡理論求解,假定地基土是剛塑性體,當應力小於土體屈服應力時,土體不產生變形,如同剛體一樣;當達到屈服應力時,塑性變形不斷增加,直至土樣發生破壞。這類方法是通過在土體中任取一微分體,以—點的靜力平巧條件滿足極限平衡條件建立微分方程,計算地基土中各點達到極限平衡時的應力和滑動面方向,由此求解地基的極限荷載。另一類是按照假定滑動面求解,通過基礎模型試驗,研究地基整體剪下破壞模式的滑動面形狀,並簡化為假定滑動面,根據滑動土體的靜力平衡條件求解極限承載力 。
淺基礎
淺基礎是指淺層地基所承載的基礎。通常指其埋置深度不過5m,用普通開挖基坑的方法建造的基礎。施工簡便,可以用敞坑法施工,能直接觀察基礎底面地質情況。結構形式有:獨立基礎、條形基礎、筏式基礎和箱形基礎等。常用於中小型建築。用於淺基礎的地基極限承載力計算的理論主要有普朗德爾極限承載力理論、太沙基承載力理論、魏錫克極限承載力公式等。這些理論的基本出發點都是按整體剪下破壞模式,在條形荷載作用下,假設滑裂面,由靜力平衡條件推導出淺基礎的地基極限承載力的表達式。在假設滑裂面、形成計算模式過程中,這些理論都對實際複雜的地基問題作出了不少相應的假設、簡化。
普朗德爾極限承載力理論是1920年L.普朗德爾根據塑性理論,研究了剛性沖模壓入模壓入無質量的半無線體剛塑性介質時,導出了介質達到破壞時的滑動面形狀和極限壓應力公式。普朗德爾所做出的最主要的假設有:第一,土體是無質量的,即γ=0;第二,基底是光滑的,第三,假設所受的條形荷載是無限長的;第四,假設基礎無埋深 。
太沙基承載力理論是由K·太沙基假設基底粗糙並考慮土自重影響導出的地基極限承載力理論。1943年提出,1967 年作了局部修改該理論將普朗德爾承載力理論套用到地基極限承載力課題。推導過程中做如下假設(1)受鉛直均布荷載作用的條形基礎,基底粗糙,不光滑;(2)條形基礎淺埋;(3)地基土均勻、有重量,並考慮地基土自重對極限承載力的影響;(4)當荷載達到極限值時,地基發生整體剪下破壞。
魏錫克極限承載力公式是由A.S.魏錫克於20世紀70年代提出的地基極限承載力公式。在普朗德爾承載力理論基礎上,考慮了土自重,並考慮了超載土的抗剪強度、荷載傾斜和偏心、基底傾斜、地面傾斜等因素對地基極限承載力的影響。魏錫克還提出可以判別地基三種剪下破壞型式的剛度指標和臨界剛度指標,在地基極限承載力公式中列入壓縮影響係數,以考慮局部剪下破壞或沖剪破壞時土壓縮變形的影響。

