大電流產生的原因
連錫:在電子產品生產過程中經常遇到的連錫會造成大電流;在電子產品的維修中也會造成直接或間接地連錫;
燒壞:產品在經過使用後會因為種種原因導致元器件的燒壞;
假焊:電路的相關迴路假焊造成的開路,使供電非正常輸出而造成的大電流;
短路:不同的電路之間出現短路現象,如手機進水造成的電子短路。
大電流的確認
根據大電流出現的時間來判斷故障範圍,在生活中有開機大電流、待機大電流、大電流不開機、短路大電流等多種大電流現象,要能正確確認大電流的現象。
衝擊大電流測量
衝擊大電流測量是衝擊大電流的峰值和波形的測量。常用分流器或羅戈夫斯基線圈與數字存儲示波器組成的測量系統來實現衝擊大電流的測量,還可套用磁光效應的光電法來進行測量。
根據中國國家標準,對認可的測量系統要求測量峰值的總不確定度為±3%範圍,測得的時間參數不確定度在±10%範圍內,能檢出疊加在衝擊電流上的振盪,標定刻度因數穩定在1%範圍內。衝擊電流的標準測量系統在其使用範圍內的總不確定度為:對於峰值電流應為±1%範圍,對於時間參數應為±5%範圍。確定認可的測量系統標定刻度因數及動態特性時,應採用與標準測量系統比對的方法,對動態特性的校核也可採用階躍波回響測量法。
分流器
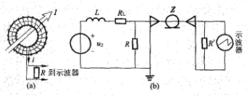
分流器測量系統一種用來測量衝擊電流的感測器。它是一個串接在被測電路中的低阻值無感電阻器。測量被測電流流過分流器時所產生的電壓降,可確定電流峰值及其波形。分流器的阻值一般為0.1~100mΩ,要求它是阻值穩定的純電阻。在材料選擇和結構設計時,應考慮減小集膚效應和熱效應的影響,有時還要求有良好的禁止。用分流器和示波器組成的測量系統,如圖所示。
C—儲能電容;R—迴路電阻;L—迴路電感;
RL—負載;R’—匹配電阻;z—電纜及其波阻抗。
分流器按結構分有:①帶狀對摺式;②辮狀對摺式;③同軸管式;④圓盤式等。其中以圓盤式特性最佳 。
羅戈夫斯基線圈
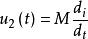
大電流測量衝擊大電流或它的變化率的一種感應線圈,又稱為磁電位計。把作為二次線圈的羅戈夫斯基線圈圍住載有被測大電流的單根導體(即為一次線圈),設兩者之間的互感係數為M,則線圈輸出端的感應電動勢u與被測電流變化率di/dt成正比,即,M與磁導率μ、線圈的幾何尺寸及匝數有關。如果線上圈的兩端接上積分器,就可得到與被測電流成正比的電壓信號。積分器有兩種,一種是電阻電感(RL)積分器,另一種是電阻電容(RC)積分器。
羅戈夫斯基線圈測量衝擊電流示意圖羅戈夫斯基線圈測量衝擊電流的特點是性能穩定,線圈與衝擊電流發生器放電迴路無直接的電聯繫,可以測量幾十千安到幾百千安的衝擊大電流。圖3中示明了它的測量原理。
(a)測量原理;(b)接RL積分器時的整體接線圖R—積分電阻;L—線圈電感;RL—線圈電阻;Z—同軸電纜及其波阻抗;R’—匹配電阻 。
大電流檢查方法和要求
從一次側加大電流的檢查方法
任何反應電流的保護,都應採用這種檢查方法,它是從電流互感器的一次側通大電流來檢查其二次迴路接線的正確性和保護裝置的動作情況等,這是一種仿真方法。實踐證明,這是一種行之有效和必不可少的檢查方法,特別對二次迴路接線極性的檢查,其他方法是難於取代的 。
試驗電流
由於被保護的電氣設備和線路負荷容量不一,因而主迴路電流大小不一,往往由於條件的限制,試驗電流的數值不能使保護裝置直接按整定值動作。一般按以下情況考慮:
1)在可能的情況下,應儘可能達到使保護裝置直接動作。
2)在上述要求達不到的情況下,可採取如下辦法:暫時降低整定值直至最小,使保護裝置動作。按比例加試驗電流,測量保護元件(繼電器)內的電流來檢驗 。
大電流試驗設備
一般採用專用的負荷變壓器,這種變壓器的二次電壓低、電流大,因容量不同而異,可任意選擇。還可利用適合的變壓器進行,如有適合的鐵心,還可自制這種簡易的變壓器,也較方便適用 。
大電流的維修方法
排除法:排除法也叫斷開法,就是逐個拆除與之(短路)相連的元器件,一般都能找到問題,但是可能耗時會比較長;
發熱法:在維修手機VBAT短路時巧用此法可以很快找到故障點,但必須注意兩個條件:1.電壓不得超過5.8V;2.電流不得超過500mA。發熱處就是故障處。

