計算方法
計算
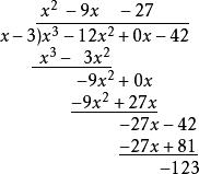
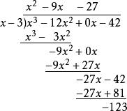
多項式長除法把被除式、除式按某個字母作降冪排列,缺項補零,寫成以下形式:
多項式長除法然後商和餘數可以這樣計算 :
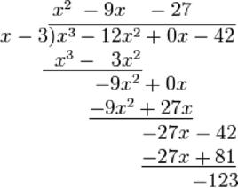
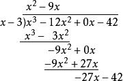
用分母的第一項除以分子的最高次項(即次數最高的項,此處為x),得到首商,寫在橫線之上(x÷x=x)。
將分母乘以首商,乘積寫在分子前兩項之下(同類項對齊) (x·(x−3) =x−3x).
從分子的相應項中減去剛得到的乘積(消去相等項,把不相等的項結合起來),得到第一餘式,寫在下面。((x−12x)−(x−3x) = −12x+3x= −9x)然後,將分子的下一項“拿下來”。
把第一餘式當作新的被除式,重複前三步,得到次商與第二餘式(直到餘式為零或餘式的次數低於除式的次數時為止.被除式=除式×商式+餘式 )
1.用分母的第一項除以分子的最高次項(即次數最高的項,此處為x),得到首商,寫在橫線之上(x÷x=x)。
2.將分母乘以首商,乘積寫在分子前兩項之下(同類項對齊) (x·(x−3) =x−3x).
3.從分子的相應項中減去剛得到的乘積(消去相等項,把不相等的項結合起來),得到第一餘式,寫在下面。((x−12x)−(x−3x) = −12x+3x= −9x)然後,將分子的下一項“拿下來”。
4.把第一餘式當作新的被除式,重複前三步,得到次商與第二餘式(直到餘式為零或餘式的次數低於除式的次數時為止.被除式=除式×商式+餘式 )
多項式長除法
多項式長除法5. 重複第四步,得到三商與第三餘式。餘式小於除式次數,運算結束。
多項式長除法橫線之上的多項式即為商,而剩下的 (−123) 就是餘數。
多項式長除法算數的長除法可以看做以上算法的一個特殊情形,即所有 x被替換為10的情形。
除法變換
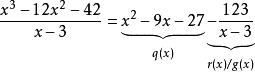
使用多項式長除法可以將一個多項式寫成 除數-商 的形式(經常很有用)。 考慮多項式 P( x), D( x) (( D)的次數 < ( P)的次數)。 然後,對某個商多項式 Q( x) 和餘數多項式 R( x) (( R)的係數 < ( D)的係數),
多項式長除法這種變換叫做 除法變換,是從算數等式
多項式長除法得到的。

