簡介
多殺黴素
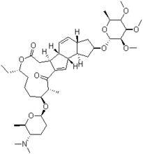
多殺黴素化學結構式多殺黴素又名多殺菌素(Spinosad)是在多刺甘蔗多孢菌( Saccharopolyspora spinosa)發酵液中提取的一種大環內酯類無公害高效生物殺蟲劑。產生多殺菌素的親本菌株土壤放線菌多刺甘蔗多孢菌( Saccharopolyspora spinosa Metrz & Yao)最初分離自加勒比的一個廢棄的釀酒場。美國陶氏益農公司(現為陶氏農業科學公司)的研究者發現該菌可以產生殺蟲活性非常高的化合物,實用化的產品是spinosyn A和spinosyn D的混合物,故稱其為spinosad。多殺黴素的作用方式新穎,可以持續激活靶標昆蟲乙醯膽鹼菸鹼型受體,但是其結合位點不同於菸鹼和吡蟲啉。多殺黴素也可以影響GABA受體,但作用機制不清。目前還不知道是否與其他類型的殺蟲劑有交叉抗性。這些化合物可以引起靶標植食性昆蟲如毛蟲、潛葉蟲、薊馬、和食葉性甲蟲迅速死亡,儘管管理部門強烈要求在抗性未出現時使用,該化合物的中度殘留活性降低了抗性和群發生的可能性。當以12—150g/hm套用時,未發現有藥害。
ISO通用名稱:spinosad
CIPAC數字代號:636
結構式
Spinosyn A:R1=N(CH3)2,R2=H,R3=CH3
Spinosyn D:R1=N(CH3)2,R2=CH3,R3=CH3
實驗式:Spinosyn A:C41H65NO10、Spinosyn D:C42H67NO10
相對分子質量(按1999年國際原子質量計):Spinosyn A:731.98、Spinosyn D:746
生物活性:殺蟲
g,帶有一種輕微陳腐泥土氣味。蒸氣壓約1.3×10-10Pa。在pH值7.74水溶液中,對金屬和金屬離子在28d內相對穩定。在土壤中光降解半衰期為9~10d;水光解的半衰期1d。在pH值5~7範圍內,在水溶液中相對穩定;在pH值為9時半衰期200d。多殺菌素是一個含有十餘個組分的混合物,主要組分是A和D。刺糖菌素A的熔點84~99.5℃,蒸氣壓3.2×10-10Pa,在水中溶解度分別為:290mg/L (pH=5.0)、235mg/L(pH=7.0)、16mg/L (pH=9.0);分配係數在相應pH值條件下分別為2.8、4.0、5.2。多殺菌素D的熔點161.5~170℃,蒸氣壓2.1×10-10Pa,在水中的溶解度分別為:29mg/L (pH=5.0)、0.332mg/L (pH=7.0)、0.053mg/L (pH=90.0);分配係數在相應pH值條件下分別為3.2、4.5、5.2。
密度:1.16g/cm3,熔點:84℃〜99.5Ç,沸點:801.5°C at 760 mmHg,折射率:1.54,閃點:438.5°C,蒸氣壓(20℃):1.3×10-10Pa,溶解度:水235mg/L(PH=7);能以任意比例與醇類、脂肪烴、芳香烴、鹵代烴、酯類、醚類和酮類混溶。穩定性:對金屬和金屬離子在28d內相對穩定。在環境中通過多種途徑降解,主要是光降解和微生物降解,最終變為碳、氫、氧、氮等自然成分。見光易分解,水解較快,水中半衰期為1天;在土壤中半衰期9-10天。
其它名稱:菜喜,催殺
作用特點
它的作用機理被認為是煙酸乙醯膽鹼受體的作用體,可以持續激活靶標昆蟲乙醯膽鹼菸鹼型受體,但是其結合位點不同於菸鹼和吡蟲啉。多殺菌素也可以影響GABA受體,但作用機制不清。可使害蟲迅速麻痹、癱瘓,最後導致死亡。其殺蟲速度可與化學農藥相媲美。安全性高,且與目前常用殺蟲劑無互動抗性為低毒、高效、低殘留的生物殺蟲劑,既有高效的殺蟲性能,又有對有益蟲和哺乳動物安全的特性, 最適合無公害蔬菜、水果生產套用。是一種低毒、高效、廣譜的殺蟲劑。
毒性:
原藥對雌性大鼠急性口服LD50>5000毫克/千克,雄性為3738毫克/千克,小鼠>5000毫克/千克,兔急性經皮LD50>5000毫克/千克。對皮膚無刺激,對眼睛有輕微刺激,2天內可消失。多殺菌素在環境中可降解,無富集作用,不污染環境。
作用機理
對害蟲具有快速的觸殺和胃毒作用,對葉片有較強的滲透作用,可殺死表皮下的害蟲,殘效期較長,對一些害蟲具有一定的殺卵作用。無內吸作用。能有效的防治鱗翅目、雙翅目和纓翅目害蟲,也能很好的防治鞘翅目和直翅目中某些大量取食葉片的害蟲種類,對刺吸式害蟲和蟎類的防治效果較差。對捕食性天敵昆蟲比較安全,因殺蟲作用機制獨特,目前尚未發現與其他殺蟲劑存在互動抗藥性的報導。對植物安全無藥害。適合於蔬菜、果樹、園藝、農作物上使用。殺蟲效果受下雨影響較小。
使用技術
多殺黴素主要通過噴霧防治害蟲,誘殺橘小實蠅時則為點噴投餌。
(1)噴霧 在十字花科蔬菜、茄果類蔬菜、瓜類蔬菜及棉花:使用時,一般每667平方米使用含有2~2.5克有效成分的藥皋對水30~45升噴霧;在果樹上噴施時,一般使用480克/升懸浮劑12000~15000倍液、或25克/升懸浮劑800~1 000倍液噴零噴霧應均勻、周到,在害蟲發生初期用藥效果最佳。防治薊馬時需重點噴灑幼嫩組織如嫩梢、花、幼果等。
(2)點噴投餌 防治柑橘橘小實蠅時多採用點噴投餌的方用藥以誘殺橘小實蠅。一般每667平方米噴投0.02%餌劑10一100毫升。
分析方法
高效液相色譜定量分析方法.以甲醇+乙腈+水為流動相,C18和紫外檢測器進行測定。
製劑:2.5%、48%懸浮劑,並有BT及部分化學農藥與之復配的產品。
使用方法:
1. 蔬菜害蟲防治小菜蛾,在低齡幼蟲盛發期用2.5%懸浮劑1000-1500倍液均勻噴霧,或每667平方米用2.5%懸浮劑33-50毫升對水20-50千克噴霧。
2. 防治甜菜夜蛾,於低齡幼蟲期,每667平方米用2.5%懸浮劑50-100毫升對水噴霧,傍晚施藥效果最好。
3. 防治薊馬,於發生期,每667平方米用2.5%懸浮劑33-50毫升對水噴霧,或用2.5%懸浮劑1000-1500倍液均勻噴霧,重點在幼嫩組織如花、幼果、頂尖及嫩梢等部位。
注意事項
1.可能對魚或其他水生生物有毒,應避免污染水源和池塘等。
2.藥劑貯存在陰涼乾燥處。
3.最後一次施藥離收穫的時間為7天。避免噴藥後24小時內遇降雨。
4. 應注意個人的安全肪護,如濺入眼睛,立即用大量清水沖洗。如接觸皮膚或衣物,用大量清水或肥皂水清洗。如誤服不要自行引吐,切勿給不清醒或發生痙攣患者灌餵任何東西或催吐,應立即將患者送醫院治療。

