定義
當光子入射到光敏器材的表面時,部分光子會激發光敏材料產生電子空穴對,形成電流,把收集到的電子(經過內部電子空穴複合等過程)與所有入射的光子數之比稱為 外量子效率(External Quantum Efficiency, EQE)
計算
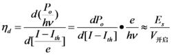
微分外量子效率 ηd(differential efficiency)
(無量綱)
外量子效率
外量子效率外量子效率(External Quantum Efficiency, EQE)是光電探測器的主要性能指標之一。 其數值為收集到的電子數與入射光子數之比。
當光子入射到光敏器材的表面時,部分光子會激發光敏材料產生電子空穴對,形成電流,把收集到的電子(經過內部電子空穴複合等過程)與所有入射的光子數之比稱為 外量子效率(External Quantum Efficiency, EQE)
微分外量子效率 ηd(differential efficiency)
(無量綱)
外量子效率
外量子效率公司簡介北京海瑞克科技發展有限公司創建於2007年,是由多名海外留學人員共同組建的高科技企業。 自公司成立以來,公司一直致...
公司簡介 公司主營業務 矽片及矽料測試設備 太陽能電池測試設備 太陽能電池實訓設備的摻雜濃度為6%時,器件的外量子效率和內量子效率分別可達4%和23%。通過...),溶液成膜的器件外量子效率在11.5%左右,由於該配合物具有較短的磷光壽命...發光層的器件最大外量子效率和最大亮度分別達到11%(31 cd/A)和...
簡介 螢光與磷光 磷光材料的選擇 主體材料的選擇 有機電致磷光材料(internal quantum efficiency)。 外量子效率產生的電子數與所有入射的光子數之比,稱為外量子效率。內量子效率一般要高於外量子效率。 ...
相關內容 外量子效率簡介 曹鏞 曹鏞,男,漢族,湖南長沙人,1941年生。中國科學院院士。1965年畢業於前蘇聯列寧格勒大學化學系,1987年獲日本...
簡介 履歷 成就 導論課程簡介 LED 大功率LED作為第四代電光源,賦有“綠色照明光源”之稱,具有體積小、安全低電壓、壽命長、電光轉換效率高、回響速度快...
簡介 特點 工作原理 優缺點 種類,穩定圖像效果。 LED的發光效率(即外量子效率)是由LED內量子效率...,外量子效率成為提高LED光效的瓶頸。均勻性與清晰度 LED玻璃屏技術...
簡述 產品概況 套用領域: 產品特色: 技術解析:20%左右。採用抗反射微結構可以減少Fresnel反射,增加外量子效率...
基本介紹 理論研究方法 來源發現 製作工藝 相關套用,外量子效率達到2.7%,峰值波長450nm,並實現產品的商品化。1995年...
基本信息 計算化學數據 性質與穩定性 合成方法 材料簡介的有機電致發光:電流效率為 400 cd/A、外量子效率接近100...
簡介 研究經歷 研究領域 主要成果和技術貢獻 主要榮譽