簡介
壓制是粉末冶金的主要工序之一,它的目的是製造具有一定尺寸和形狀的半成品(這些尺寸和形狀是製得成品所必需的),同時也要考慮到下面工序(燒結、整型等)可能引起的變形。經過壓制後得到的壓型強度應足以使其經受住燒結前的各中間工序而不致損壞。
壓制工藝
壓製法,這種方法多數用於壓制熱固性塑膠,如酚醛塑膠、氨基塑膠和棉纖維塑膠。壓制熱塑性塑膠,在每次壓制後,必須將熱的壓模冷卻到內部塑膠完全凝固為止,因此在一定程度上延長了壓制周期,降低了生產率,除非在大型或複雜製品使用外,一般很少採用。
熱固性塑膠的熱壓法壓制過程如下:
①稱料 塑膠稱重,共數量此實際製件重量大5~10%,這是彌補在壓制過程中不可避免產生的毛邊。有時用粉狀或纖維狀塑膠,有時則用已壓製成圓片的坯料,使用壓片能使塑膠容積縮小。
②預熱 將稱好重量的塑膠在放入壓模加料室以前,先放在電熱箱或高頻預熱器中預熱一下,使塑膠預先加熱到80~120℃或者160~200℃。預熱的優點能縮短受壓時間,提高製品的質量。預熱方式有三種: 1)將稱好的塑膠就放在壓機的熱板上預熱,達僅適用於壓制移動式壓模時採用。2)用電熱箱預熱。3)用高頻預熱器預熱,達種方法效果最好。
③加料 將預熱好的塑膠放在已熱到一定溫度的加料室或模腔內。
④閉模 塑膠在熱和壓力的作用下,變成可塑狀態,並充滿壓模全部型腔。
⑤放氣 為排出塑膠中的氣體和壓模成型空間的氣體須進行放氣,也就是在加壓後使壓機改變升起動作,使凸模自壓模中退出一定距離,此時氣體便很容易由壓模的縫隙中逸出,放氣時間通常為2~3秒。
在採用濕度較高的塑膠壓制大型厚壁製品時,須進行兩次放氣,凸模再度升起。當凸模上裝有壓入製品內的金屬嵌鑲件時,不得進行放氣,因為凸模自加料室中稍微退出以及凸模與還未完全硬化的製品分離,均可引起嵌壤件的移動,而使製品與壓模損壞。
⑥持續熱壓 將閉合的壓模在一定的壓力和溫度下保持一個時間。開始壓制時,當塑膠變成可塑狀態,並充滿壓模型腔,當開始聚合時,壓力逐步達到最大(根據製品外形和高度來決定,可達100~500公斤/厘米 ),此時成型空間完全被充滿,但製品尚未硬化,保持壓力到完全硬化為止。持續熱壓時間按製品最大的壁厚計算。
⑦開模和製品的頂出 持續熱壓時間過後就可開啟壓模,製品借壓模上的自動頂出器頂出、或用手取出、或借卸取器、擰出器及其它設備取出。
⑧清潔模型 用壓縮空氣及銅鏟將模具型腔內所附的塑膠毛邊清理乾淨,然後方可壓制下一個製品。
⑨製品的修飾及整形 從壓模中取出的製品在其分模面上必然會存在毛邊,因此必須進一步的機械加工,使其完全符合圖紙要求。一部分簡易的修飾工作可由壓制工直接來完成,如製品周圍毛邊的去除。某些製品的形狀能促使其在出模後冶卻過程中變形,為避免達種情況的產生,將剛出模的熱製品壓(或套)在與製品形狀相符的塗壓整形模中,這一整形工序也可由壓制工來完成,其餘製品外形進一步修飾拋光、鑽孔、鉸螺紋孔、磨平等則由修飾工來完成。
壓制壓力
粉末體在壓模中於壓力下成形,壓制壓力是模具設計與選擇壓機的重要參數。
使用鋼製模具壓制時,施加於粉末體上的壓力主要消耗於兩個方面:
(1)靜壓力一當壓坯內各處的壓力和密度均勻分布,並且不考慮粉末與模壁之間的摩擦阻力和模具變形阻力時,僅僅為了克服粉末體對壓制的阻力F也就是粉末體本身變形和緻密所需要的力;
(2)外摩擦力一用來克服粉末與模壁之間的摩擦所消耗的力F。
模壓過程的總壓制壓力F為:
壓製成型法 總壓制壓力F與壓坯的關係為:
壓製成型法 式中:p——單位壓制壓力(即壓制壓強)(MPa);S——壓坯受壓的橫截面積(cm)。
單位壓制壓力與壓坯密度的關係,反映了壓制過程中粉末體變形和緻密的規律。在忽略粉末與模壁之間摩擦的影響時,對於確定的粉末,單位壓制壓力只取決於壓坯的密度要求。不同種類的粉末,其單位壓力與壓坯密度的對應關係亦不同。
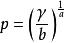
對於生產中常見的鐵基和青銅基的壓坯,其單位壓制壓力p與壓坯密度γ呈下列關係:
壓製成型法 式中:γ——壓坯密度(g/cm );a——取決於粉末種類的常數;b——當壓制壓力為100MPa時的壓坯密度值。
在實際生產中,一般說來,硬質合金的單位壓制壓力為100~300MPa,銅基材料的單位壓制壓力為200~500MPa,鐵基材料的單位壓制壓力為400~700MPa,不鏽鋼材料的單位壓制壓力為700~800MPa。
在壓制和脫模過程中壓坯除了受到正壓力之外,還受到側壓力、摩擦力、彈性內應力、脫模壓力等的作用。
缺點
壓製法套用很普遍,有許多優點,但也有如下缺點:
①製品的硬化速度此用壓鑄法壓制進行得慢,在壓模內持續熱壓時間也較長。
②在制品中不可能安放某些形狀的金屬嵌鑲件,如:與壓制方向平行壓入製品的嵌鑲件(自製品兩端伸出的),否則,塑膠將會擠入壓模與嵌鑲間的縫隙內,結果嵌鑲件被擠壞而製品亦成為廢品。
③壓制帶有深孔(不通)的製品是此較困難的,若孔的深度與直徑之此大於3~3.5倍時,這些成型孔的型桿在壓制過程中不可避免的會折彎。
④壁厚不同的製品,製品出模後由於體內溫度不同,將產生內應力,故易變形。
⑤在不可能進行放氣的情況下,壓制過程所分溢出來的氣體不能排出,因而損害了製件外形的美觀與質量。
