分類
在計算風道管網時,管網中分配壓力損失或者在其串聯管段中經濟速度的大小是可以給定的。在第一種情況下,風道計算在於選擇單獨管段的必需直徑,而在第二種情況下,在於求出直徑以及單獨管段和整個管網中的壓力損失。
計算公式
當已知管網中壓力損失時,可按下列方式進行計算:將總的分配壓力損失H除以管網所有串聯管段的總長度(∑l),因而,可求得包括摩擦損失和局部阻力的每米管長的總分配損失,即
壓損平均法將求得的每米壓力損失乘以該管段的長度,則得到管網第n根串聯管段上的分配壓力捐失
壓損平均法並聯管段中的壓力損失,根據管網節點處壓力相等的條件求出。知道了管段中壓力損失、管道長度、空氣流量和選取到的局部阻力係數之和,則不難求出管段的計算直徑。
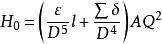
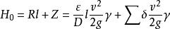
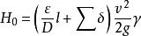
大家知道,管道中壓力捐失,等於摩擦損失與局部阻力之和,
即
壓損平均法或
壓損平均法利用氣流連續性公式,以流量和直徑代換速度,化簡後得
壓損平均法式中,D——管徑(米);
——管道的局部阻力係數之和;
Q——空氣流速(立方米每秒);
A——常數。
可用符號μ表示括弧里的式子,於是,可得到較簡單的壓力損失式子。

