塑性
塑性(plasticity)是指材料的應力超過屈服強度後發生與時間無關且不可恢復的變形。其主要特徵是:(1)應力和應變之間的關係是非線性的;(2)應力和應變之間的關係非單值對應,與載入歷史有關。考慮材料塑性特徵(包括發生應變硬化和結構中的應力再分配)來計算給定載荷下結構狀態的方法稱為“塑性分析”,其相應的研究理論稱為“塑性力學”或“塑性理論”。
塑性失穩
塑性失穩(plastic collapse)是指構件在載荷作用下在整體上或某一局部的全厚度上發生過度塑性變形而不能保持原有形狀的一種失穩的失效形式。例如受外壓的壓力容器當壁較薄而外壓又較大時會被壓癟;軸向受壓縮載荷的壓桿也會發生軸向失穩;受內壓的容器當內壓過大而使容器發生整體範圍的屈服時,直徑明顯鼓脹;帶裂紋的構件當載荷足夠大,裂紋前端塑性區尺寸擴大到使整個韌帶都發生屈服並發生過度塑性變形,這些都可稱為發生了塑性失穩。
壓桿塑性失穩的切線模量理論
塑性失穩
塑性失穩
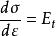
塑性失穩軸向壓桿材料常具有右圖所示的應力-應變曲線。在應力達到以後則為一曲線,其斜率為變數,稱為切線模量。
塑性失穩
塑性失穩
塑性失穩
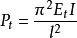
塑性失穩切線模量理論就是假定當壓桿臨界壓力超過了比例極限,其彈性模量應以相應於該臨界應力的切線模量來代替,用彈性狀態時求臨界載荷的同樣方法,導出兩端鉸支軸向壓桿塑性狀態的臨界載荷為
塑性失穩
塑性失穩稱為切線模量臨界載荷。
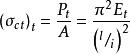
塑性失穩上式中為變數,直接利用該式需反覆疊代。為了方便套用,將此式也寫成臨界應力形式,即
塑性失穩
塑性失穩根據此式畫出曲線,以供直接查用。由此所得曲線僅適用於具有相應的應力-應變曲線的某種材料。

