垂線偏差改正詳解
垂線偏差改正地面上所有水平方向的觀測都是以垂線為根據的,而在橢球面上則要求以該點的法線為依據。因此在測站上,把以垂線為依據的地面觀測的水平方向值歸算到橢球面上以法線為依據的方向值而應加的改正定義為垂線偏差改正,以表示。
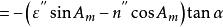
垂線偏差改正如上圖所示,以測站站A為中心作出單位半徑的輔助球,是垂線偏差,它在子午圈和卯西圈上的分量分別以,η表示,M是地面觀測目標m在球上的投影。
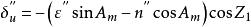
垂線偏差改正的計算公式為
垂線偏差改正
垂線偏差改正
垂線偏差改正
垂線偏差改正式中:,n為測站點上的垂線偏差在子午圈及卯西圈上的分量,它們可在測區的垂線偏差分量圖中內插取得,量圖中內插取得;A為測站點至照準點的大地方位角;Z為照準點的天頂距;為照準點的垂直角。
需要注意的是,在圖中,與垂線垂直和法線垂直的水平度盤應不重合,但它們的夾角很小,對水平方向讀數的影響可忽略,故視它們為重合。
相關概念
標高差改正
如果測站點觀測值已加垂線偏差改正,則可認為垂線同法線一致。這時測站點在橢球面上或者高出橢球面某一高度,對水平方向是沒有影響的。而照準點高出橢球面的一定高度,導致過測站點的法截面偏移了一定的角度,對這個角度改正叫作標高差改正,此項改正主要與照準點的高程有關,而與測站點高程無關。
截面差改正
經過前兩項改正,已將地面觀測的水平方向化為橢球面上相應的法截線方向。但是對雙向觀測的兩條相對法截線一般不相重合,應應當用兩點間的大地線(曲面上兩點間的大地線為兩點間的最短程曲線)來代替相對法截線。因此,為了將方向觀測值從法截線方向化為大地線方向,就要要加一個改正數,稱為截面差改正。

