概念
地面解析度是衡量遙感圖像(或影像)能有差別地區分開兩個相鄰地物的最小距離的能力。超過解析度的限度,相鄰兩物體在圖像(影像)上即表現為一個單一的目標。通常用單位長度內所能分辨出來的黑白相間的線對數(線對/毫米)來表示解析度的大小。對於掃描圖像,通常以像元的大小來表示其解析度(即能分辨的最小面積)。解析度數值在地面上的實際距離,稱為地面解析度。解析度是評價圖像(影像)質量的重要指標,成像系統及所用感光材料的分辨本領,光照條件,以及被攝地物的形態等因素都能直接影響圖像的解析度,因此,在判讀中應視工作任務的性質,選擇適當解析度的圖像(影像),以取得較好的效益。
意義
地面解析度也稱空間解析度。是指在遙感圖像上能夠顯示出探測地物的最小尺寸的能力,也就是像元(探測器的視場視窗大小)的大小,一般用米單位表示。例如陸地衛星第一代多光譜掃瞄器(MSS)圖像的地面解析度為80m×80m,第二代多光譜掃瞄器(TM)圖像的地面解析度為30m×30m,而第三代多光譜掃瞄器(ETM+)全色波段圖像的地面解析度為15m×15m。地面解析度不同,識別信息的能力也不同。一般情況下,凡是大於解析度的地物容易辨認,而小於解析度的地物辨認就比較困難;在特殊情況下,其解析度決定於地物本身狀況與背景之間的反差條件。例如:沙漠與水塘信息,即使水塘的面積很小,但由於背景條件好(兩種地物的色調反差大),很容易清晰地突現,可辨性強;而如果是沼澤與水塘,那么背景條件就差(兩種地物的色調反差小),水塘信息被淹沒,辨認就比較困難。
計算
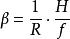
通常用航攝或遙感片上能分辨的最小線對寬所對應的地面寬度作為計量單位。如地面解析度為10米,表示遙感片上最細的黑白線對相應在地面上黑白線條各5米,即對於白背景上寬度5米的黑線可以記錄和再現。地面解析度可由靜態綜合解析度換算,即地面解析度β:
地面解析度式中R為靜態綜合解析度,H為攝影高度,f為航攝儀的焦距。
遙感圖像
利用圖像處理技術,將遙感儀器獲取的信息加工製成人眼能夠識別的像片。遙感技術成果之一。按色彩可分為彩色和黑白像片;按成像方式分為畫幅式和掃描像片;按反映電磁波的波段不同,分為可見光、紅外輻射和微波遙感像片。紅外輻射像片又可分為紅外攝影像片和紅外掃描像片。前者利用能直接感受紅外輻射的膠捲獲取,與航空像片只在色調和陰影特徵上有某些不同;後者利用能量轉換,反映地面的溫差,溫度越高,色調越淺,反之則深。
例如,美國陸地衛星所獲得的遙感圖像有反束光導管電視攝影機獲得的RBV像片和多光譜掃瞄器獲得的MSS像片;航空遙感獲得的黑白航空像片,彩色航空像片,近紅外航空像片,全景雷達和側視雷達圖像,紫外像片等。各種遙感圖像均是進行地質遙感、地震構造解譯等遙感技術套用工作的基礎資料。可根據實際需要選擇一種或幾 種遙感圖像進行解譯和研究。
解析度
亦稱空間解析度,是衡量遙感圖像(或影像)能有差別地區分開兩個相鄰地物的最小距離的能力。超過解析度的限度,相鄰兩物體在圖像(影像)上即表現為一個單一的目標。通常用單位長度內所能分辨出來的黑白相間的線對數(線對/毫米)來表示解析度的大小。對於掃描圖像,通常以像元的大小來表示其解析度(即能分辨的最小面積)。解析度數值在地面上的實際距離,稱為地面解析度。解析度是評價圖像(影像)質量的重要指標,成像系統及所用感光材料的分辨本領,光照條件,以及被攝地物的形態等因素都能直接影響圖像的解析度,因此,在判讀中應視工作任務的性質,選擇適當解析度的圖像(影像),以取得較好的效益。
