地表蒸散定義
地表蒸散(Evaportranspiration,ET)通常是指土壤蒸發(E-vaporation,E)和植物蒸騰(Transpiration,T)的總和,是土壤-植物-大氣連續體系(SPAC)中水分運動的重要過程,是農作物生長發育至關重要的水分和能量來源,是陸面生態系統與水文過程的重要紐帶,其強度大小與下墊麵條件、植物等有密切的關係。多種衛星遙感數據反演地表蒸騰與蒸散(ET)產品是地理國情監測雲平台推出的生態環境類系列數據產品之一。
地表蒸散與遙感衛星信息的結合套用
遙感衛星信息源
遙感衛星信息源數據反演產品及算法
目前已有產品介紹
目前已有產品包括中國2000~2009年以及內蒙古自治區、青海省、西藏自治區2010年8天、逐月、年均產品,解析度為1km、0.01度,精度良好。
模型算法
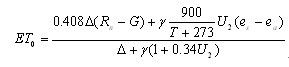
地表蒸散遙感數據定量遙感範疇,植被蒸散和土壤蒸散在不同環境條件下有不同的變化規律。對地表蒸散量的精確估算,不但可以改善農作物估產精度,也對做好水資源和農業資源管理工作有重要意義。公式如下:
公式其中,rn表示為地表淨輻射,G為土壤熱通量,U2為風速,為乾濕常數,為大氣壓強,為飽和水汽壓曲線斜率,為實際水汽壓,為平均飽和水汽壓,T為實際氣溫。
產品案例
青海省2010年9月ET
青海省2010年9月ET