公式
土的可松性程度用可松性係數表示:
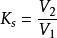
土的可松性最初可松性係數:
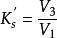
土的可松性最終可松性係數:
式中:
土的最初可松性係數(K);
土的最終可松性係數(K');
V1 土在天然狀態下的體積( m );
V2 土在鬆散態下的體積( m );
V3土經壓實後的體積( m )。
可松性對土方的平衡調配,場地平整土方量的計算,基坑(槽)開挖後的留棄土方量計算以及確定土方運輸工具數量等都有著密切的關係。
係數
土的可松性係數
| 土的類別 | 最初可松性係數K | 最終可松性係數K' |
| 第一類(鬆軟土) | 1.08~1.17 | 1.01~1.04 |
| 第二類(普通土) | 1.14~1.28 | 1.02~1.05 |
| 第三類(堅土) | 1.24~1.30 | 1.04~1.07 |
| 第四類(礫砂堅土) | 1.26~1.37 | 1.06~1.09 |
| 第五類(軟石) | 1.30~1.45 | 1.10~1.20 |
| 第六類(次堅石) | 1.30~1.45 | 1.10~1.20 |
| 第七類(堅石) | 1.30~1.45 | 1.10~1.20 |
| 第八類(特堅石) | 1.45~1.50 | 1.20~1.30 |

