簡介
土壤中土粒同的孔隙大小不一,相互交錯相連,構成土壤中極其複雜的孔隙網路,保持在這些孔隙里的水受到毛管力的作用,這部分水稱之為毛管水。毛管力可由幾百千帕或一千多千帕到30.4 kpa或5.07kpa,毛管水完全具有液態水的性質,可以在孔隙中自由流動,是土壤水中最活躍的部分,也是農業生產中最有價值、最寶貴的水分。
保持力分類
土壤水的保持力主要有兩類,一類是土粒和水界面上的吸附力,另一類是在土壤孔隙內土壤固體表面、水和空氣界面上的毛管力。
吸附力(adsorption)主要是指土粒表面分子和水分子之間的分子引力,又稱為范德華力。在很短距離內范德華力很強,可達幾十萬基至上百萬千牛,受其吸附的那部分土壤水分子被吸附得很緊、一般不能流動,具有固態水的特徵,一般只有幾個至十幾個水分子層厚,所以由它保持的土壤水數量極為有限。另外,土壤膠體表面電荷對水的極性引力,也能在一定程度上保持土壤水分,是吸附力的一部分。極性引力較范德華力弱,約為幾百到幾千千牛,所以吸附的水分具有更多的液態水的性質,可以自動,但具有很高的黏滯度。
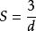
毛管力(capillarity)實質上是毛管內固、氣、水界面上產生的負壓力,也叫彎月面力。毛管力的大小與毛管孔徑成反比。
土壤水保持力式中S為單位面積的毛管力(hpa);d為毛管孔徑(mm)。
