簡介
土壤氣體運動的方式有兩種:即對流和擴散,影響土壤氣體運動的因素有氣象、土壤性質及農業措施,氣象因素主要有氣溫、氣壓、風力和降雨等。
土壤氣體擴散
在土壤氣體的組成中,CO的濃度高於大氣,而O的濃度低於大氣,在濃度梯度的作用下,驅使CO氣體分子不斷從土壤中向大氣擴散,同時使O分子不斷從大氣向土壤氣體擴散。
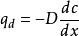
O和CO在土壤中的擴散過程,部分發生在氣相,部分發生在液相。通過充氣孔防擴散保持著大氣和土壤間的氣體交流作用,為氣相擴散;而通過不同厚度水膜的擴散、則為液相擴散,這兩種擴散過程都可以用費克(Fick)定律表示。根據費克定律,氣體的擴散速率(dQ/dt)和該氣體的濃度梯度(dc/dr)以下式表示:
土壤氣體擴散式中,q表示擴散通量(單位時間通過單位面積擴散的質量); D表示在該介質中的擴散係數(其量綱為面積/時間);c表示某種氣體(O或CO)的濃度(單位容積擴散物質的質量);x表示擴散的距離;dc/dx表示濃度梯度,對於氣體來說,其濃度梯度常用分壓梯度表示,則:
土壤氣體擴散式中,B表示偏壓與濃度的比。
擴散特性
擴散係數D代表氣體在單位分壓梯度下(或單位濃度梯度下),單位時間通過單位面積土體剖面的氣體量。D值的大小取決於土壤性質、同一土壤在同樣的條件下,不同氣體的擴散系總是不同的,如O的擴散係數比CO約大1.25倍,不同壓力和溫度下的氣體擴散係數變化也較大。
由於土壤孔隙的曲折複雜,一般來講,氣體在土壤中的擴散係數D,明顯地小於其化空氣中的擴散係數(D),它們的具體數值因土壤的含水量、質地、結構、鬆緊程度、上層排列等狀況而異,一般情況下,擴散作用是土壤與大氣交換的主要機制。
