圓錐螺旋彈簧分類
圓錐螺旋彈簧有等螺旋角的、等螺距的和拋物線迴轉面的。
等螺旋角圓錐彈簧
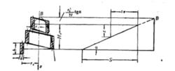
等螺旋角圓錐彈簧等螺旋角圓錐螺旋彈簧的彈簧絲的螺旋線的展開為一直線。設φ中為圓錐的頂角,今取圓錐的頂點B作為坐標原點,z軸向下。圓錐上任一點的半徑為r,軸向坐標為z,則有:
圓錐螺旋彈簧另一方面可寫:
圓錐螺旋彈簧式中s表示螺旋線的弧線長度,從坐標原點B開始計算。
由上式可得:
圓錐螺旋彈簧在極坐標系統中,螺旋線的線素長度為:
圓錐螺旋彈簧製造彈簧工作圈的彈簧絲長度:
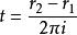
圓錐螺旋彈簧等螺距的圓錐彈簧
等螺距的圓錐彈簧
圓錐螺旋彈簧等螺距的圓錐彈簧,螺距h如常數,這種彈簧,當將坐標角φ增大2π,則螺旋線半徑增大一個常數值 此處φ為彈簧的圓錐角,因此有:
圓錐螺旋彈簧當φ等於0時,C=r
φ等於2πi時,r=r.
代入上式,得:
圓錐螺旋彈簧
圓錐螺旋彈簧因此,等螺距圓錐彈在平面上的投影為阿基米德螺旋線。當r=r時,彈簧的螺旋角最小,當r=r時,螺旋角最大。量大的螺旋角替通不超過6~8°。
製造彈簧工作圈的彈簧絲長度 :
圓錐螺旋彈簧其中:
α:平均螺旋角。
S≈(r1+r2)πi
拋物線迴轉面彈簧
拋物線迴轉面彈簧矩形截面的拋物線迴轉面彈簧為套用普遍的能承受大載荷的彈簧。它在平面上的投影是阿基米德螺旋線:
平面投影
圓錐螺旋彈簧
圓錐螺旋彈簧它的螺旋角為常數。很容易證明,這種彈簧的教面重心所引起的表面為拋物線迴轉.
這種螺旋線在坐標角為0至φ的區城中(即由r至r)的弧長S,等於:
圓錐螺旋彈簧阿基米德螺旋線的總長S的求法與前同。故彈簧線的長度為:
圓錐螺旋彈簧
