性質
圓錐擺
圓錐擺
圓錐擺
圓錐擺
圓錐擺
圓錐擺
圓錐擺
圓錐擺
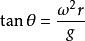
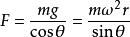
圓錐擺小球做圓周運動的圓心是O,做圓周運動的半徑是,小球所需的向心力實際是繩子拉力F與重力G的合力。並有.由此式可得這說明 做圓錐運動的小球的 擺線 與豎直方向的夾角 θ與 擺球質量m無關,與 擺線長度及 角速度有關。當擺長一定時,角速度越大,θ越大。由於繩子的拉力。可見繩子的拉力隨角速度的增加而增大。圓錐擺的周期公式在地球表面同一地點,圓錐擺的周期與 成正比,而與小球質量無關。若擺線長為定長,則越大,越大,周期越小。
方法與技巧:圓錐擺在擺動中機械能守恆。
模型
溜冰運動中在雙人花樣滑冰運動中,有時會看到被男運動員拉著的女運動員離開地面在空中做圓錐擺運動,這裡面就涉及到了圓錐擺;其實在做單擺實驗時,如果沒有做好,往往就做成了圓錐擺了。圓錐擺其實可以看成是單擺與勻速圓周運動的合成(這有助於分析問題,實際上是有差異的)。
聯繫
圓錐擺要與單擺、彈簧振子等簡諧運動聯繫起來考慮,這樣可以拓寬我們的思路。

