定義
圓柱銷屬於定位銷,用於固定零件之間的相對位置。它是組合加工和裝配時候的重要輔助零件。
類型
| 類型 | 圖片 | 特點 | 套用 |
| 普通圓柱銷 | 圓柱銷 | 銷孔應鉸制,利用微量的過盈把圓柱銷固定在銷孔中,多次拆裝會使過盈量減小,降低連線的牢固性和定位精度。 | 用於定位、聯接、也可用做安全銷。 |
| 內螺紋圓柱銷 | 圓柱銷 | 銷孔應鉸制,利用微量的過盈把圓柱銷固定在銷孔中,多次拆裝會使過盈量減小,降低連線的牢固性和定位精度。 | 用於定位、聯接、也可用做安全銷。且內螺紋圓柱銷用於盲孔。 |
| 彈性圓柱銷 | 圓柱銷 | 用彈簧鋼製成縱向開縫並經淬火的圓管。利用其高的彈性,均勻地擠緊在銷孔中,堅固可靠。 對銷孔的精度和表面粗糙度要求較低, 可以多次裝拆,但剛度較差。 | 適用於有衝擊、振動的場合。不宜用於有高精度要求的定位。 |
材料
圓柱銷目前多套用優質碳素結構鋼為原材料製造。
一般情況下,材質多選用C35,C45,但須進行熱處理。高強度要求下選用軸承鋼。
彈性圓柱銷多用65Mn。
標準
圓柱銷的標準 GB 119-66,如圖1。
圖1 圓柱銷標準強度計算
定位銷通常不受 或只受很小的載荷,其尺寸常由經驗決定。
聯接用銷常受擠壓和剪下,但銷的尺寸可根據聯接結構特點和經驗確定,然後按受力情況作相應的強度校核。
安全銷直徑應按過載時被剪斷的強度條件決定。
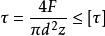
圓柱銷的強度計算公式如下 :
銷的剪下強度
(1)情況1,銷的安裝位置如圖2。
圓柱銷(2)情況2,銷的安裝位置如圖3。
圓柱銷銷或被聯接件的擠壓強度
圓柱銷
圖2 銷連線受力圖
圖3注:式中D、d等字母含義如圖2。
L——銷的長度
z——銷數
[σ]——許用擠壓應力(見圖4)
圖4 銷的許用擠壓應力[τ]——許用切應力(普通圓柱銷常用材料35、45號鋼=80MPa,彈性圓柱銷多用65Mn=120~130MPa)
過盈配合性質
過盈連線配合分為直接過盈和帶輔助零件的過盈兩種。前者利用兩零件本身的過盈配合來實現,靠摩擦力來傳遞載荷。而圓柱銷的過盈配合屬於直接過盈配合。
性質和套用
結構簡單、對中性好、承載能力高、受變載與衝擊性能好,但要求配合面加工精度高。
拆裝力大,會擦傷配合表面,屬於不可拆連線。過盈量不大或採用液壓裝拆時,聯接也是可拆的。
套用廣泛。

圓柱銷
圓柱銷
圓柱銷 